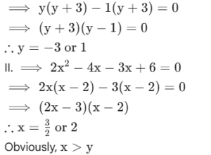
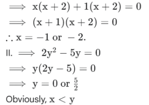
RBI GRADE ‘B’ OFFICER’S EXAM Held on : 17.11.2002 (Part-II)Total Questions: 5041. A shopkeeper sold a T.V. set for Rs. 17,940/-, with a discount of 8% and gained 19.6% If no discount is allowed, what will be his gain percent?(1) 25%(2) 26.4%(3) 24.8%(4) Cannot be determined(5) None of theseCorrect Answer: (5) None of these42. Four of the following five parts numbered 1, 2, 3, 4 and 5 are equal. Which of the following is not equal to the other four.?(1) 24² - 12² + 112 ÷ 14 =(2) 17× 12 + 59 × 4 =(3) 15 × 28 + 20 =(4) 27 ×16 + 56 ÷ 8 =(5) 185 × 6 + 2 − 23 × 5Correct Answer: (4) 27 ×16 + 56 ÷ 8 =43. Which value of x does satisfy the inequality 2x² + x − 3 < 0 ?(1) − 3/2 < x < 1(2) −1< x < 2/3(3) x > 1(4) x < − 2/5(5) None of theseCorrect Answer: (1) − 3/2 < x < 144. What will come in place of the question mark (?) in the following equation ?(1) 4.18(2) 4.41(3) 425(4) 433(5) None of theseCorrect Answer: (4) 433Solution:Taking approximate values.45. A bag contains 2 red, 3 green and 2 blue balls. 2 balls are to be drawn randomly. What is the probability that the balls drawn contain no blue ball?(1) 5/7 (2) 10/21 (3) 2/7(4) 11/21(5) None of theseCorrect Answer: (2) 10/21 46. Determine relation between x and y and then,(1) x < y(2) x > y(3) x ≤ y(4) x ≥ y(5) x = yCorrect Answer: (1) x < ySolution:47. Determine relation between x and y and then,(1) x < y(2) x > y(3) x ≤ y(4) x ≥ y(5) x = yCorrect Answer: (3) x ≤ y48. Determine relation between x and y and then,(1) x < y(2) x > y(3) x ≤ y(4) x ≥ y(5) x = yCorrect Answer: (2) x > ySolution:49. Determine relation between x and y and then,(1) x < y(2) x > y(3) x ≤ y(4) x ≥ y(5) x = yCorrect Answer: (1) x < ySolution:50. Determine relation between x and y and then,(1) x < y(2) x > y(3) x ≤ y(4) x ≥ y(5) x = yCorrect Answer: (4) x ≥ ySolution:Submit Quiz« Previous12345