RBI GRADE ‘B’ OFFICER’S EXAM Held on : 2007 (Part-II)

Total Questions: 50

41. If the numerator of a fraction is increased by 350% and the denominator of the fraction is increased by 300%, the resultant fraction is 9/22 . What is the original fraction ?

Correct Answer: (4) 4/11
Solution:

42. The length of rectangular plot is thrice its breadth. If the area of the rectangular plot is 6075 sq. metres, what is its length ?

Correct Answer: (5) None of these
Solution:Let the breadth of rectangular plot = m.

43. Ms. Sujata invests 7% i.e. Rs. 2170 of her monthly salary in mutual funds. Later she invests 18% of her monthly salary in recurring deposits also, she invests 6% of her salary on NSC's. What is the totel annual amount invested by Ms. Sujata ?

Correct Answer: (4) Rs.1,15,320
Solution:Sujata's monthly salary

44. In how many different ways can the letters of the word 'PRIDE' be arranged ?

Correct Answer: (2) 120
Solution:The word PRIDE consists of 5 distinct letters.

Number of arrangements = 5!

= 5 x 4 x 3 x 2 x 1 = 120

45. The ages of Samir and Tanuj are in the ratio of 8 : 15 years respectively. After 9 years the ratio of their ages will be 11 : 18. What is the difference in years between their ages ?

Correct Answer: (4) 21 years
Solution:Let the present ages of Samir and Tanuja be and years respectively. According to the question,

46. For the two given equations I and II.

Give answer (1) if p is greater than q.

 

Give answer (2) if p is smaller than q.

 

Give answer (3) if p is equal to q.

 

Give answer (4) if p is either equal to or greater than q.

 

 

Give answer (5) if p is either equal to or smaller than q.

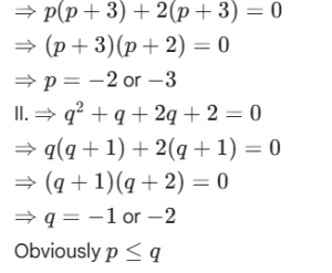
I. p² + 5p + 6 = 0

II. q² + 3q + 2 = 0

Correct Answer: (5)
Solution:

47. For the two given equations I and II.

Give answer (1) if p is greater than q.

 

Give answer (2) if p is smaller than q.

 

Give answer (3) if p is equal to q.

 

Give answer (4) if p is either equal to or greater than q.

 

 

Give answer (5) if p is either equal to or smaller than q.

I. p² = 4

II. q² + 4q = - 4

Correct Answer: (4)
Solution:

48. For the two given equations I and II.

Give answer (1) if p is greater than q.

 

Give answer (2) if p is smaller than q.

 

Give answer (3) if p is equal to q.

 

Give answer (4) if p is either equal to or greater than q.

 

 

Give answer (5) if p is either equal to or smaller than q.

I. p² + p = 56

II. q² - 17q + 72 = 0

Correct Answer: (2)
Solution:

49. For the two given equations I and II.

Give answer (1) if p is greater than q.

 

Give answer (2) if p is smaller than q.

 

Give answer (3) if p is equal to q.

 

Give answer (4) if p is either equal to or greater than q.

 

 

Give answer (5) if p is either equal to or smaller than q.

I. 3p + 2q - 58 = 0

II. 4q + 4p = 92

Correct Answer: (1)
Solution:We have,

50. For the two given equations I and II.

Give answer (1) if p is greater than q.

 

Give answer (2) if p is smaller than q.

 

Give answer (3) if p is equal to q.

 

Give answer (4) if p is either equal to or greater than q.

 

 

Give answer (5) if p is either equal to or smaller than q.

I. 3p² + 17p + 10 = 0

II. 10q² + 9q + 2 = 0

Correct Answer: (2)
Solution: