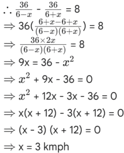
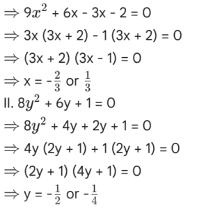
RBI OFFICER GRADE ‘B’ PHASE-I EXAM Held on : 03.08.2014(Part-III)Total Questions: 5021. Study the following table carefully and answer the questions that follow:Description of Literate and Illiterate population of six villagesVillagesPercentage of Literate populationMale : FemaleRatio of Literate Males & FemalesA48%7:513:7B60%8:73:5C72%4:53:4D60%5:46:5E50%7:314:11F64%5:37:5If the number of literate women in village D is 32200, what is the number of illiterate population in the same village?(1) 48500(2) 48300(3) 46300(4) 46500(5) None of theseCorrect Answer: (2) 48300Solution:Literate males in village D22. Study the following table carefully and answer the questions that follow:Description of Literate and Illiterate population of six villagesVillagesPercentage of Literate populationMale : FemaleRatio of Literate Males & FemalesA48%7:513:7B60%8:73:5C72%4:53:4D60%5:46:5E50%7:314:11F64%5:37:5If the number of literate males in village A be 35840, the number of illiterate males in the same village is(1) 43224(2) 43284(3) 43264(4) 45264(5) None of theseCorrect Answer: (3) 43264Solution:Literate females in village23. Study the following table carefully and answer the questions that follow:Description of Literate and Illiterate population of six villagesVillagesPercentage of Literate populationMale : FemaleRatio of Literate Males & FemalesA48%7:513:7B60%8:73:5C72%4:53:4D60%5:46:5E50%7:314:11F64%5:37:5 If the illiterate female population of village E be 77000, What is the total population of that village?(1) 350000(2) 360000(3) 400000(4) 320000(5) None of theseCorrect Answer: (1) 350000Solution:Illiterate males in village E24. Three typists P, Q and R have to type 368 pages. P types one page in 8 minutes, Q in 18 minutes and R in 24 minutes. In what time will these pages be typed if they work together?(1) 25 hours(2) 27.6 hours(3) 27 hours(4) 28 hours(4) None of theseCorrect Answer: (2) 27.6 hoursSolution:Page printed in one minute25. The distance between two points is 36 km. A boat rows in still water at 6 kmph. It takes 8 hours less to cover this distance in downstream in comparison to that in upstream. The rate of stream is(1) 3 kmph(2) 2 kmph(3) 2.5 kmph(4) 4 kmph(5) None of theseCorrect Answer: (1) 3 kmphSolution:Speed of current = x kmph∴ Rate downstream26. In each of the following questions, two equations I and II have been given. Solve these questions and answer(1) if x < y(2) if x ≤ y(3) if x = y or the relation cannot be established(4) if x ≥ y(5) if x > yI. 30x² + 11x + 1 = 0II. 42y² + 13y + 1 = 0(1)(2)(3)(4)(5)Correct Answer: (2)Solution:I. 30x² + 11x + 1 = 0⇒ 30x2 + 6x + 5x + 1 = 0⇒ 6x (5x + 1) + 1 (5x + 1) = 0⇒ (6x + 1) (5x + 1) = 027. In each of the following questions, two equations I and II have been given. Solve these questions and answer(1) if x < y(2) if x ≤ y(3) if x = y or the relation cannot be established(4) if x ≥ y(5) if x > yI. x² – x – √2x + √2 = 0II. y² – 3y + 2 = 0(1)(2)(3)(4)(5)Correct Answer: (2)Solution:I. x² - x - √2x + √2 = 028. In each of the following questions, two equations I and II have been given. Solve these questions and answer(1) if x < y(2) if x ≤ y(3) if x = y or the relation cannot be established(4) if x ≥ y(5) if x > yI. x² – 2x – √5x + 2√5 = 0II. y² – √3y – √2y + √6 = 0(1)(2)(3)(4)(5)Correct Answer: (4)Solution:I. x² - 2x - √5x + 2√5 = 0⇒ x (x - 2) - √5 (x - 2) = 0⇒ (x - 2) (x - √5) = 0⇒ x = 2 or 5II. y² - √3 - √2y + 6 = 029. In each of the following questions, two equations I and II have been given. Solve these questions and answer(1) if x < y(2) if x ≤ y(3) if x = y or the relation cannot be established(4) if x ≥ y(5) if x > yI. x² + 12x + 36 = 0II. y² = 16(1)(2)(3)(4)(5)Correct Answer: (1)Solution:I. x² + 12x + 36 = 0⇒ (x+6)² = 0⇒ x + 6 = 0⇒ x = -6II. y² = 16⇒ y = ± 4Clearly x < y30. In each of the following questions, two equations I and II have been given. Solve these questions and answer(1) if x < y(2) if x ≤ y(3) if x = y or the relation cannot be established(4) if x ≥ y(5) if x > yI. x² + 12x + 36 = 0II. y² = 16(1)(2)(3)(4)(5)Correct Answer: (3)Solution:I. 9x² + 3x - 2 = 0Submit Quiz« Previous12345Next »