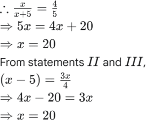
RBI OFFICER GRADE ‘B’ PHASE-I EXAM Held on : 04.09.2016 (Shift-II)(Part-III)Total Questions: 5011. In the given questions, two quantities are given, one as Quantity I and another as Quantity II. You have to determine relationship between two quantities and choose the appropriate option.(1) If Quantity I ≥ Quantity II (2) If Quantity I > Quantity II (3) If Quantity I < Quantity II (4) Quantity I = Quantity II or the relationship cannot be established from the information that is given (5) Quantity ≤ Quantity II There are three positive numbers a,b and c. The average of a,b and c is equal to the average of a and b.Quantity I : value of 2c Quantity II : value of a(1)(2)(3)(4)(5)Correct Answer: (1)Solution:Clearly, quantity I> quantity II.12. In the given questions, two quantities are given, one as Quantity I and another as Quantity II. You have to determine relationship between two quantities and choose the appropriate option.(1) If Quantity I ≥ Quantity II (2) If Quantity I > Quantity II (3) If Quantity I < Quantity II (4) Quantity I = Quantity II or the relationship cannot be established from the information that is given (5) Quantity ≤ Quantity II Shyam invests certain sums in schemes- A and B for two years each. Sum invested in scheme B is 20% more than that invested in scheme A. Scheme A offers compound interest (compounded annually) at the rate of 20% per annum scheme B offers simple interest per annum. Respective ratio between the interests earned from scheme A and that earned from scheme B was 11:9. Quantity I : Rate of interest offered by scheme B. Quantity II : Rate of interest offered by scheme C (simple interest per annum) when Rs. 1800 invested for 2 years earns an interest of Rs. 432.(1)(2)(3)(4)(5)Correct Answer: (3)Solution:Let the investment in scheme A be Rs. x. ∴ Investment in scheme B 13. In the given questions, two quantities are given, one as Quantity I and another as Quantity II. You have to determine relationship between two quantities and choose the appropriate option.(1) If Quantity I ≥ Quantity II (2) If Quantity I > Quantity II (3) If Quantity I < Quantity II (4) Quantity I = Quantity II or the relationship cannot be established from the information that is given (5) Quantity ≤ Quantity IIThree equal circles are drawn on a triangle ABC, with points A, B and C of each of the circle is equal to half of the side of the triangle ABC. Area of shaded region-1 Quantity I : Area of the shaded region-2 (in cm²) Quantity II : 25 cm² (1)(2)(3)(4)(5)Correct Answer: (2)Solution:It is an equilateral triangle whose each side =2x cm. (let) 14. In the given questions, two quantities are given, one as Quantity I and another as Quantity II. You have to determine relationship between two quantities and choose the appropriate option.(1) If Quantity I ≥ Quantity II (2) If Quantity I > Quantity II (3) If Quantity I < Quantity II (4) Quantity I = Quantity II or the relationship cannot be established from the information that is given (5) Quantity ≤ Quantity II Shalmali bought two articles- A and B at the same price. She marked articles A and B at 40% and 25% above their respective cost prices. She sold both the articles at 20% discount. The total selling price of both the articles together was Rs. 636. Quantity I : Cost price of Article A (in Rs.) Quantity II : Cost price of an article (in Rs.), if it earns a profit of Rs. 60 when sold at 20% profit.(1)(2)(3)(4)(5)Correct Answer: (2)Solution:C.P. of article A=Rs.x Marked price of article A 15. In the given questions, two quantities are given, one as Quantity I and another as Quantity II. You have to determine relationship between two quantities and choose the appropriate option.(1) If Quantity I ≥ Quantity II (2) If Quantity I > Quantity II (3) If Quantity I < Quantity II (4) Quantity I = Quantity II or the relationship cannot be established from the information that is given (5) Quantity ≤ Quantity II a>0<b Quantity I : Value of Quantity II : Value of (1)(2)(3)(4)(4)Correct Answer: (4)Solution:Quantity I, Expression Quantity II, 16. Naman rolled a pair of die together. What is the probability that first die showed a multiple of 3 and the second die showed either a multiple of 3 or 2?(1) 5/18(2) 1/8(3) 2/9(4) 1/9(5) 7/18Correct Answer: (3) 2/9Solution:Total possible outcomes =6×6=36 Favourable outcomes =(3,2),(3,4),(3,6),(3,3),(6,2), (6, 4),(6,6),(6,3)= 8 Required probability = 8/36 = 2/9 17. Each of the given questions is followed by three statements. You have to study the question along with the information in three statements and decide the information in which of the statement(s) is necessary and sufficient to answer the question.A right-angled triangle is inscribed in a given circle. What is the area of the given circle? (in cm²) I. The base and height of the triangle (in cm) are both the roots of the equation x²−41x+420 =0 II. The sum of the base and height of the triangle is 41 cm. III. The base of the right-angled triangle is greater than the height of the same.(1) All I, II and III(2) III and either only I or only II(3) Either I or II(4) Only II and III(5) Only ICorrect Answer: (5) Only ISolution:18. Each of the given questions is followed by three statements. You have to study the question along with the information in three statements and decide the information in which of the statement(s) is necessary and sufficient to answer the question.What is the three-digit number having each digit different from the other? I. Each of the digits of the given number is a multiple of 3, none of the digits being zero. II. The digit in the unit's place is 50% more than that in hundred's place. III. The difference between any two of the digits is a multiple of 3.(1) All I, II and III(2) Question cannot be answered even with the information in all the three statements.(3) Only II(4) Only I and II(5) II and either I or IIICorrect Answer: (4) Only I and IISolution:From statements I and II, Digit at hundred's place =6 Unit's digit =9 ∴ Number =63919. Each of the given questions is followed by three statements. You have to study the question along with the information in three statements and decide the information in which of the statement(s) is necessary and sufficient to answer the question.What is the ratio between the marked price of two identical items, P and Q, which had been purchased at the same price? I. Item P was sold at a profit of 20%, while item Q was sold at a loss of 10%. II. Item P was sold at a discount of 4%. The percentage by which item Q's cost price had been marked up is 2.5 times the profit % earned on selling item P. III. The overall profit earned on selling items P and Q was 5%.(1) Only I and II(2) All I, II and III(3) Any two of the three(4) Only II and III(5) Question cannot be answered even with the information in all the three statements.Correct Answer: (1) Only I and IISolution:From statement I, 20. Each of the given questions is followed by three statements. You have to study the question along with the information in three statements and decide the information in which of the statement(s) is necessary and sufficient to answer the question.Raktim and Suraj are brothers. In how many years from now will Suraj's age be 35 years? I. The ratio of the current ages of Raktim and Suraj is 4:5 respectively. II. Suraj was born 5 years before Raktim. III. 5 years ago, Raktim's age was three-fourth of Suraj's age at that time.(1) Only II and III(2) Only II and either I or III(3) Only I and III(4) All I, II and III(5) Any two of the threeCorrect Answer: (5) Any two of the threeSolution:From statements I and II. Raktim's age =x years Suraj's age =(x+5) years From statements I and III, Raktim's present age =4x years Suraj's present age =5x years ∴ Raktim's present age =20 yearsSubmit Quiz« Previous12345Next »