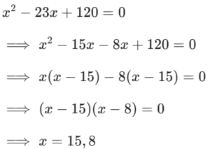
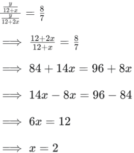
Data regarding number of foreign students (males + females) from different countries- A, B, C, D and E, taking in higher level education in the country XYZ in the year 2014.
Total number of foreign students (males + females) = 9000

Foreign Female Students = 3500

What is the respective ratio between the total number of male students from countries B and C together and total number of students (males + females) from the same countries together?