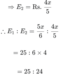
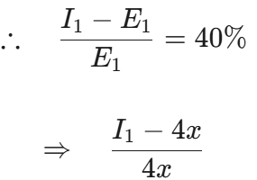
RBI OFFICER GRADE ‘B’ PHASE-I EXAM Held on : 09.07.2023(Part-II)Total Questions: 5021. The following table shows the percentage of net profit of company A and Company B for the five year period. Study the following table carefully and answer the questions.From the questions (21-25)Company / Years2013 (%)2014 (%)2015 (%)2016 (%)2017 (%)B253052718A201040912 The ratio of the expenditure of company A to the expenditure of company B was 4 : 5 in the year 2015, then what was the ratio of the income of company A to the income of company B in the same year?(1) 16 : 15(2) 11 : 12(3) 9 : 11(4) 13 : 18 (5) 4 : 5Correct Answer: (1) 16 : 15Solution:Let the expenditure of company A in 2015 be Rs. 4x. Let the expenditure of company B in 2015 be Rs. 5x. 22. Study the above information carefully and answer the questions.The incomes of both the companies were same in the year 2013, then what was the ratio of the expenditure of company A to the expenditure of company B in 2013?(1) 5 : 4(2) 15 : 14(3) 25 : 24(4) 3 : 2(5) 23 : 22Correct Answer: (3) 25 : 24Solution:Let the income of company A be Rs. x in 2013. For company A, For company B, 23. Study the above information carefully and answer the questions.If the total income of company A in the year 2015 was Rs. 49,000, what was the total expenditure of the company A in that year? (In Rs.)(1) 25675(2) 35000 (3) 34000(4) 25000(5) 38000Correct Answer: (2) 35000 Solution:Let the expenditure of company A be Rs. E. = Rs. 3500024. Study the above information carefully and answer the questions.The total income of company B in the years 2013 and 2014 together was Rs. 5,00,000. What was the total expenditures of the company B in the years 2014 and 2015 together? (in Rs. lakhs)(1) 1.8(2) 2.2 (3) 2.1 (4) 1.5 (5) Can’t be determined.Correct Answer: (5) Can’t be determined.Solution:For company B in 2013, In the year 2014, .... (ii) Three unknowns and only two equations. Hence, E₁ and E₂ cannot be determined.25. Study the above information carefully and answer the questions.The total income of companies A and B together was Rs. 80000 and the income of company A was 40% less than the income of company B in the year 2014. By what approximate percentage the expenditure of company A was less than that of expenditure of company B?(1) 29%(2) 25%(3) 18%(4) 19%(5) 21%Correct Answer: (1) 29%Solution:If Income of company – B = Rs. 10x, then income of company A = (100 – 40)% × 10x = Rs. 6x∴ 10x + 6x = 16x = 80000⇒ x = 80000 ÷ 16 = 5000The income of company A = 6x = 6 × 5000 = Rs. 30000So, Profit percent Income of company B So, required percentage 26. What will come in the place of question mark (?) in the following number series?5, 25, 157, ?, 12661, 151945(1) 1265(2) 675(3) 815 (4) 1115(5) 505Correct Answer: (5) 505Solution:The pattern is :(5 × 4) + 5 = 20 + 5 = 25(25 × 6) + 7 = 150 + 7 = 157(157 × 8) + 9 = 1256 + 9 = 1265(1265 × 10) + 11 = 12650 + 11 = 12661(12661 × 12) + 13 = 151932 + 13 = 15194527. What will come in the place of question mark (?) in the following number series?35, 80, 150, 310, 610, ?(1) 800(2) 820 (3) 980(4) 1000(5) 1230Correct Answer: (5) 1230Solution:The pattern is :(35 × 2) + 10 = 70 + 10 = 80(80 × 2) – 10 = 160 – 10 = 150(150 × 2) + 10 = 300 + 10 = 310(310 × 2) – 10 = 620 – 10 = 610(610 × 2) + 10 = 1220 + 10 = 123028. What will come in the place of question mark (?) in the following number series?101, 102, 101, 96, ?(1) 90 (2) 88(3) 85(4) 78 (5) 76Correct Answer: (3) 85Solution:The pattern is :101 – (3 × 3) + 10 = 101 – 9 + 10 = 102102 – (4 × 4) + 15 = 102 – 16 + 15 = 101101 – (5 × 5) + 20 = 101 – 25 + 20 = 9696 – (6 × 6) + 25 = 96 – 36 + 25 = 8529. What will come in the place of question mark (?) in the following number series?3, 17, 45, ?, 143(1) 61 (2) 63(3) 73 (4) 87(5) 83Correct Answer: (4) 87Solution:The pattern is :3 + (14 × 1) = 1717 + (14 × 2) = 17 + 28 = 4545 + (14 × 3) = 45 + 42 = 8787 + (14 × 4) = 87 + 56 = 143143 + (14 × 5) = 143 + 70 = 21330. What will come in the place of question mark (?) in the following number series?147, 148, 150, 159, 223, ?(1) 430(2) 340 (3) 756(4) 848(5) 742Correct Answer: (4) 848Solution:The pattern is :147 + 1⁰ = 148148 + 2¹ = 150150 + 3² = 150 + 9 = 159159 + 4³ = 159 + 64 = 223223 + 5⁴ = 223 + 625 = 848Submit Quiz« Previous12345Next »