RBI OFFICER GRADE ‘B’ PHASE-I EXAM Held on : 09.11.2019(Part-II)

Total Questions: 50

31. Study the following information carefully and answer the given questions.

From the questions (31-35)
The given data is regarding the number of doctors (D) and engineers (E) in Colleges A, B and C.
College A: Respective ratio between male doctors and male engineers is 12: 5 and the difference between them is 280. Total number of females (D + E) is 300. Number of male engineers is 30 more than the number of female engineers.
College B: Total number of males (D + E) = total number of females in college A (D + E). Respective ratio between total number of males (D + E) and total number of females (D + E) is 6: 7 in College B. Respective ratio between the number of female doctors and the number of female engineers is 2: 3. The number of male doctors is one-third of the number of male engineers in College C.
College C: Number of male engineers is 1.5 times the number of female doctors. Total number of females (D + E) is 550. The number of female engineers is 70 more than the number of female doctors. Total number of males (D + E) is 760.
What is the difference between the number of male engineers in college B and the number of female engineers in the same college?

Correct Answer: (4) 30
Solution:

Required difference
= 210 - 180 = 30

32. Study the above information carefully and answer the given questions.

In another college D, the number of females is 640 out of which 25% are doctors and the number of male doctors in college is 12.5% more than that in college C. What is the total number of doctors in college D?

Correct Answer: (2) 610
Solution:

In college D,
Female doctors = 640 × ¼
= 160
Female engineers = 640 × ¾
= 480

33. Study the above information carefully and answer the given questions.

What is the respective ratio between total number of doctors (male + female) in college B and that in college C?

Correct Answer: (4) 13:32
Solution:

Required ratio
= (140 + 120) : (240 + 400)
= 260 : 640 = 13 : 32

34. Study the above information carefully and answer the given questions.

What is the total number of engineers (male + female) in colleges A, B and C together?

Correct Answer: (5) 1430
Solution:

Total number of engineers in colleges A, B and C
= 200 + 170 + 180 + 210 + 360 + 310 = 1430

35. Study the above information carefully and answer the given questions.

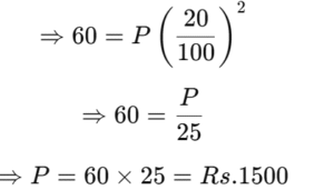
What is the average number of female doctors in colleges A, B and C?

Correct Answer: (4) 170
Solution:

Average number of female doctors in colleges A, B and C

36. The difference between compound interest (compounded annually) and simple interest on a certain sum of money at the rate of 20 per cent per annum (rate of interest is same for simple and com-pound interest) for two years is Rs. 60. If the same sum is invested in scheme ABC which offers simple interest at the rate of 15 per cent per annum what will be the interest earned from this particular scheme after 4 years?

Correct Answer: (2) Rs. 900
Solution:

For 2 years,
∴ Required S.I.

37. The ratio between the present ages of A and B is 6: 5 respectively. After ten years this ratio will be 7: 6 respectively. What is the difference between the present ages of A and B? (in years)

Correct Answer: (2) 10
Solution:

A’s present age = 6x years
B’s present age = 5x years
After 10 years,

⇒ 36x + 60 = 35x + 70
⇒ 36x – 35x = 70 – 60
⇒ x = 10 years = Required difference

38. Each of the questions given below consists of a question and two statements numbered I and II given below it. You have to decide whether the data provided in the statements sufficient to answer the question. Read both the statements and

From the questions (38-40)
Give answer (1) if the data in statement I alone are sufficient to answer the question, while the data in statement II alone are not sufficient to answer the question.
Give answer (2) if the data in statement II alone are sufficient to answer the question, while the data in statement I alone are not sufficient to answer the question.
Give answer (3) if the data in statement I alone or in statement II alone are sufficient to answer the question.
Give answer (4) if the data in both the statements I and II are not sufficient to answer the question.
Give answer (5) if the data in both the statements I and II together are necessary to answer the question.
There are 4 positive integers (A, B, C and D). What is the value of C?
I. The average of A, B, C and D is 42.
II. A <B< C < D. The average of B and C is 40. A and B are equidistant from 28. A and C are equidistant from 32.

Correct Answer: (2)
Solution:From statement I,
A + B + C + D = 42 × 4 = 168
From statement II,
A < B < C < D
B + C = 2 × 40 = 80
|——x——28——x——|
A                                  B
∴ A + B = 2 × 28 = 56
A + C = 2 × 32 = 64
∴ A + B + B + C + A + C
= 80 + 56 + 64 = 200
⇒ A + B + C = 100
∴ C = 100 – (A + B)
= 100 – 56 = 44

39. Read the statement above carefully and answer the given question.

In how many days 4 men and 4 women can complete a piece of work?
I. 6 men and 10 women together can complete the same piece of work in 10 days.
II. 8 men and 20 women together can complete the same piece of work in 6 days.

Correct Answer: (5)
Solution:

From statements I and II,
(6 men + 10 women) × 10
= (8 men + 20 women) × 6
⇒ 60 men + 100 women
= 48 men + 120 women
⇒ (60 – 48) men ≡ (120 – 100) women
⇒ 12 men ≡ 20 women
⇒ 3 men ≡ 5 women
∴ 4 men + 4 women

6 men + 10 women ≡ 20 women
∴ M₁D₁ = M₂D₂

40. Read the statement above carefully and answer the given question.

What is A's mother's present age?
I. The respective ratio between A's father's present age and A's present age is 3: 1.
II. The combined present age of A's father and A is 8 years more than the combined present age of A's mother and A. 12 years ago, A's father's age that time was 1²⁄₇ times A's mother's age that time.

Correct Answer: (2)
Solution:

From statement II,
F + A = A + M + 8
⇒ F – M = 8 ...(i)
Again,

⇒ 7F – 84 = 9M – 108
⇒ 7F – 9M = 84 – 108 = –24
⇒ 7(M + 8) – 9M = –24
[From equation (i)]
⇒ 7M + 56 – 9M = –24
⇒ 2M = 56 + 24 = 80
⇒ M = 40 years