From the questions (14-18)

This table depicts the number of hours taken by each outlet alone to empty the full tank 'T'
| Outlets | Number of hours |
| W | - |
| X | 34 |
| Y | - |
| Z | 30 |
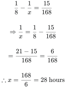
The time taken to fill the empty tank completely when inlet A and outlet X were opened together was 6 hours 40 minutes less than that taken by inlet B and outlet W together. How much time will outlet W alone take to completely empty the full tank? (in hours)