RBI OFFICER GRADE ‘B’ PHASE-I EXAM Held on : 17.06.2017(Part-III)

 

Total Questions: 50

21. How much time will it take for an amount of Rs. 900 to yield Rs. 81 as interest at 4.5% per annum of simple interest?

Correct Answer: (1) 2 years
Solution:Time

22. Mr. Thomas invested an amount of Rs. 13,900 divided in two different schemes A and B at the simple interest rate of 14% per annum and 11% per annum respectively. If the total amount of simple interest earned in 2 years be Rs. 3508, what was the amount invested in scheme B?

Correct Answer: (1) Rs. 6400
Solution:Amount invested in scheme

23. A bag contains 2 red, 3 green and 2 blue balls. Two balls are drawn at random. What is the probability that none of the balls drawn are blue?

Correct Answer: (1) 10/21
Solution:Total number of balls

Favourable outcomes

24. A can contains a mixture of two liquids A and B in the ratio 7 : 5. When 9 litres of mixture is drawn off and the can is filled with B, the ratio of A and B becomes 7 : 9. How many litres of liquid A were contained by the can initially?

Correct Answer: (3) 21
Solution:Case I.

25. A circular swimming pool is surrounded by a concrete wall 4 ft. wide. If the area of the concrete wall surrounding the pool is 11/25 that of the pool, then the radius of the pool is

Correct Answer: (3) 20ft
Solution:Let the radius of water pool

26. In the given questions, two quantities are given, one as Quantity I and another as Quantity II. You have to determine relationship between two quantities and choose the appropriate option.

(1) If QuantityIQuantityII
(2) If QuantityI>QuantityII
(3) If QuantityI<QuantityII
(4) If Quantity I = Quantity II or the relationship cannot be established from the information that is given.
(5) 

Correct Answer: (2)
Solution:Let speed of boat in still
water=x kmph.
Speed of current=y kmph.
Rate upstream
=(xy) kmph
Rate downstream
=(x+y) kmph.
According to the question,




27. In the given questions, two quantities are given, one as Quantity I and another as Quantity II. You have to determine relationship between two quantities and choose the appropriate option.

(1) If QuantityIQuantityII
(2) If QuantityI>QuantityII
(3) If QuantityI<QuantityII
(4) If Quantity I = Quantity II or the relationship cannot be established from the information that is given.
(5) 

Correct Answer: (3)
Solution:quantity I quantity II

Quantity I<Quantity II

28. In the given questions, two quantities are given, one as Quantity I and another as Quantity II. You have to determine relationship between two quantities and choose the appropriate option.

(1) If QuantityIQuantityII
(2) If QuantityI>QuantityII
(3) If QuantityI<QuantityII
(4) If Quantity I = Quantity II or the relationship cannot be established from the information that is given.
(5) 

Correct Answer: (5)
Solution:


29. In the given questions, two quantities are given, one as Quantity I and another as Quantity II. You have to determine relationship between two quantities and choose the appropriate option.

(1) If QuantityIQuantityII
(2) If QuantityI>QuantityII
(3) If QuantityI<QuantityII
(4) If Quantity I = Quantity II or the relationship cannot be established from the information that is given.
(5) 

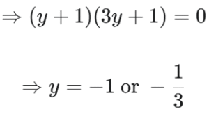
Correct Answer: (4)
Solution:mn ≠ 0

30. In the given questions, two quantities are given, one as Quantity I and another as Quantity II. You have to determine relationship between two quantities and choose the appropriate option.

(1) If QuantityIQuantityII
(2) If QuantityI>QuantityII
(3) If QuantityI<QuantityII
(4) If Quantity I = Quantity II or the relationship cannot be established from the information that is given.
(5)

Correct Answer: (2)
Solution:

Time taken by A