RBI OFFICER GRADE ‘B’ PHASE-I EXAM Held on : 17.06.2017(Part-III)

 

Total Questions: 50

31. Study the given information carefully and answer the given questions.

From the questions (31-35)
The revenue of a given railway zone was collected from 4 primary sources- Offline Ticket Sales, Online Ticket Sales, Freight, Fines-during 3 Financial Years (FY 2013-14, FY 2014-15, FY 2015-16)

FY 2013-14: Total revenue collected was Rs. 3500 crore. Fines (Rs. x crore) comprised 7 ⁶⁄₇% of the total revenue and revenue from on line ticket sales was Rs. 'x + 300' crore. Revenue from freight was 12% more than that from offline ticket sales.

FY 2014-15 : Revenue from online ticket sales increased by Rs. 25 crore over FY 2013-14. Revenue from Offline ticket sales was 40% of the total revenue in FY 2014-15. Revenue from Freight and Fines was in the respective ratio of 5: 1.

FY 2015-16: Revenue from  fines in FY 2013-14 was 11/16 th of that in FY 2015-16. Revenue from online ticket sales increased by 50% over that in FY 2014-15 and that from offline ticket sales was the average of that in FY 2013-14 and 2014-15. Revenue from freight has been and will continue to increase steadily by Rs. 250 crore every financial year.
Revenue from fines comprised two sources- vendors and passengers. Fines from passengers (Rs. y crore) remained constant in FY 2013-14 and FY 2014-15. If the fine from vendors in FY 2013-14 was 55% of that in FY 2014-15, what was the value of y?

Correct Answer: (4) 208
Solution:Financial year (2013-14):

32. Study the given information carefully and answer the given questions.

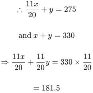
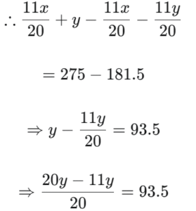
If the railway profit in FY 2014-15 was 12.5% of the total expense, what was the total expense for FY 2014-15? (in Rs. crore)

Correct Answer: (5) 3822
Solution:Financial year (2013-14):

33. Study the given information carefully and answer the given questions.

In FY 2017-18, if the revenue from fines increases by 20% over FY 2015-16, what would be the ratio between the revenues from fines and freight in FY 2017-18?

Correct Answer: (2) 1 : 5
Solution:Financial year (2013-14):

34. Study the given information carefully and answer the given questions.

If the average revenue from online ticket sales in FY 2014-15, FY 2015-16 and FY 2016-17 was Rs. 1150 crore. By what per cent did the revenue from online ticket sales increase in FY 2016-17 as compared to that in 2014-15?

Correct Answer: (4) 225
Solution:Financial year (2013-14):

Revenue from online tick

35. Study the given information carefully and answer the given questions.

If the average cost of a railway ticket was Rs. 300 in FY 2014-15, how many passengers (approx) travelled by railways in FY 2014-15? (in Rs. crore)

Correct Answer: (5) 7.73
Solution:Financial year (2013-14):

Required number of passengers

36. Refer to the pie-charts to answer the given questions.

From the questions (36-40)
Data regarding five villages - A, B, C, D and E - in a district in 2015.

Total village population = 18000

Total number of Illiterates = 40% of Total village population

Total village population = Number of literates + Number of Illiterates
In 2017, the population of village C remained the same as that in 2015, but the number of literates increased by 'x'. As a result, the total number of literates became 70% of that of illiterates. What is the approximate value of 'x' ?

Correct Answer: (4) 485
Solution:Population of village C in 2015

Population of village C in 2017
In 2015, Illiterates

=1152

Literates

37. Refer to the pie-charts to answer the given questions.

The difference between the number of illiterates in villages D and E is approximately what per cent of that of literates in village D and E?

Correct Answer: (4) 13%
Solution:

Population of village D

Illiterates

Literates Literates Difference between illiterates Difference between literates Required per cent

38. Refer to the pie-charts to answer the given questions.

In village D, the male to female ratio among the illiterates is respectively. Out of the illiterates, if 'x' females and '1.25x' males work as farmers and the ratio between males and females who do not work as farmers is respectively, what is the value of 'x'?

Correct Answer: (3) 360
Solution:In village D, Illiterates

Males

Females

39. Refer to the pie-charts to answer the given questions.

The average number of illiterates in villages D, F and G is 1910. 40% and 30% of the population of villages F and G respectively are illiterates. If the ratio of the population of villages F and G is respectively, what is the total population of villages F and G together ?

Correct Answer: (3) 12456
Solution:Illiterates in village D, F and

Illiterates in F and G Total population of F and G

40. Refer to the pie-charts to answer the given questions.

In village A, if the respective ratio between number of males and females is and there are 1000 male literates, what is the number of male ill- iterates in village A?

Correct Answer: (4) 1040
Solution:Population of village A

Males

Illiterate males