RBI OFFICER GRADE ‘B’ PHASE-I EXAM Held on : 28.05.2022 (Part-II)

Total Questions: 50

31. What value should come in place of question mark (?) in the following number series?

2, 8, 26, ?, 242, 728

Correct Answer: (5) 80
Solution:

The pattern is :
2 × 3 + 2 = 6 + 2 = 8
8 × 3 + 2 = 24 + 2 = 26
26 × 3 + 2 = 78 + 2 = [80]
80 × 3 + 2 = 240 + 2 = 242
242 × 3 + 2 = 726 + 2 = 728

32. What value should come in place of question mark (?) in the following number series?

7, 15, 38, 103, ?, 665

Correct Answer: (3) 270
Solution:

The pattern is :
7 × 2 + 1³ = 14 + 1 = 15
15 × 2 + 2³ = 30 + 8 = 38
38 × 2 + 3³ = 76 + 27 = 103
103 × 2 + 4³ = 206 + 64 = [270]
270 × 2 + 5³ = 540 + 125 = 665

33. What value should come in place of question mark (?) in the following number series?

5, 16, 49, 104, ?, 280

Correct Answer: (4) 181
Solution:

The pattern is :
5 + (11 × 1) = 5 + 11 = 16
16 + (11 × 3) = 16 + 33 = 49
49 + (11 × 5) = 49 + 55 = 104
104 + (11 × 7) = 104 + 77
= [181]
181 + (11 × 9) = 181 + 99 = 280

34. What is ¼ th of Aman’s present age, when the ratio of the ages of Suman and Aman will become 11 : 9 respectively after 3 years and present ages of both of them are in the ratio of 5 : 4 respectively?

Correct Answer: (3) 6 years 
Solution:

Let Suman’s and Aman’s present ages be 5x and 4x respectively.
After 3 years,

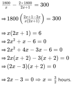
35. The distance between Delhi and Patna by flight is 1800 km. An aircraft was slowed down due to bad weather. The time of whole journey was increased by 30 minutes and the average speed for the journey was reduced by 300 kmph. What is the usual duration of the flight in a normal weather?

Correct Answer: (2) 3/2 hours
Solution:

Let, usual duration of the flight be x hours.
According to the question,

36. The ratio of the number of girls to the number of boys is 5 : 2 among 21 students. A group of 3 students is to be selected at random from them. What is the probability that the selected group of students contains one boy and two girls?

Correct Answer: (4) 63/133
Solution:Total possible outcomes = selection of 3 students out of 21 students =

37. The word ‘PARAGLIDING’ can be arranged in how many ways such that all the vowels occur together?

Correct Answer: (4) 120960
Solution:

In the word “PARAGLIDING” there are 11 letters in which there are 4 vowels (2 A’s and 2 I’s) and 7 consonants (2 G’s and each of P, R, L, D, N)
Considering vowels as one letter, the number of letters becomes 8 which can be arranged in
8!/2! ways = 8 × 7 × 6 × 5 × 4 × 3 = 20160 ways
Vowels A and I appear twice, so vowels can be arranged in
4!/(2!×2!) ways = 6 ways
Required number of ways = 20160 × 6 = 120960

38. In a store, the average sales per day for six days of a week are Rs.15640 and the average sales from Tuesday to Saturday are Rs.14124. If there is no sales on Monday, then what is the sale on Sunday?

Correct Answer: (5) Rs. 23220
Solution:

Total sales on 6 days
= 6 × 15640 = Rs. 93840
Total sales from Tuesday to Saturday = 5 × 14124
= Rs. 70620
Sunday’s sale
= Rs. (93840 – 70620)
= Rs. 23220

39. A, B and C can do a work in 18, 24 and 60 days respectively. A worked for 2 days, B for 4 days and C worked for 6 days. In how many days will D do the remaining work if his efficiency is twice C’s efficiency?

Correct Answer: (1) 18 ²/₃
Solution:

A’s 1 day’s work = 1/;

40. A sum of money amounts to Rs 6690 in 3 years and to Rs 10035 in 6 years at compound interest compounded per annum. Find the sum.

Correct Answer: (1) Rs. 4460
Solution:Let the sum be Rs. P.