RBI OFFICER GRADE ‘B’ PHASE-I EXAM Held on:18.08.2018 (Part-III)

Total Questions: 50

31. In each of these questions, a number series is given in which one number is wrong. Find out the wrong number.

27 34 51 75 107 147 195

Correct Answer: (1) 107
Solution:

The pattern is :

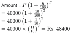
32. A sum of Rs. 50000 was invested in scheme A at 12% per annum simple interest for three years. A sum of Rs. 40000 was invested in scheme B at 10% per annum compound interest (compounded annually) for two years. What is the difference between the final amount received from scheme A and that received from scheme B?

Correct Answer: (2) Rs. 20200
Solution:

Case-I,

Amount = Rs. = Rs. 68000
Case-II,

Required difference
= Rs. = Rs. 19600

33. Boat A covers a distance of 117 km upstream in 9 hours. Boat B covers a distance of 135 km downstream in the same time. If the speed of the stream is 2 km/hr (same for both the boats), how much more dis-tance will boat A cover down-stream than boat B upstream in 30 hrs?

Correct Answer: (5) 180 km.
Solution:

Rate upstream of boat-A

Rate downstream of boat-B

Speed of current
Speed of boat-A in still water
Speed of boat-B in still water Distance covered by boat- A
in downstream in 30 hours Distance covered by boat-B
in upstream in 30 hours
Required difference

34. In the given questions, two quantities are given, one as Quantity I and another as Quantity II. You have to determine relationship between two Quantities and choose the appropriate option.

From the questions (34-38)
(1) I < II
(2) I > II
(3) I II
(4) I II
(5) I = II or no relation can be established
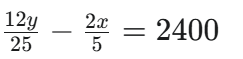
Soham and Mohan both get a certain amount as pocket money. Both of them spend 40% of their respective pocket money. Out of their respective remaining pocket money, Soham keeps equation and Mohan keeps equation th in their bank accounts. Difference between the amounts they keep in their bank accounts is Rs. 2400.
Quantity-I : Soham's pocket money if Mohan's pocket money is 25% more than that of Soham.
Quantity-II : Rs. 12000

Correct Answer: (5)
Solution:Soham's pocket money = Rs.
Mohan's pocket money = Rs.
Amount deposited by Soham in bank account

Amount deposited by Mohan in
bank account

According to the question,

Quantity-I :

Clearly, quantity-I = quantity-II.

35. Read the given Quantity above carefully :

Trains A and B travelling, at a speed of 72 kmph and 90 kmph respectively, in the same direction, cross each other in 4 minutes 21 seconds. Train A crosses a 360 metre long platform in 54 seconds, running at the same speed.
Quantity-I : Length of train B.
Quantity-II : Length of train A.

Correct Answer: (1)
Solution:

Speed of train - A = 72 Kmph.

Speed of train-B .

Time taken in crossing

Length of train-A metre

If the length of train-B be metre, then

= Relative speed

Clearly, quantity-I quantity-II.

36. Read the given Quantity above carefully :

The respective ratio between the height and the radius of a right circular conical structure (A) is . The volume of the cone (A) is 1078 cubic metre.
Quantity-I : Measure of the slant height of the given cone (A).
Quantity-II : Measure of the slant height if another cone (B) whose radius and height are 14 metre and 16 metre respectively.

Correct Answer: (2)
Solution:Height of cone metre
Its radius metre

Quantity-I :

37. Read the given Quantity above carefully :

Quantity-I : Roots of , when

Correct Answer: (5)
Solution:Quantity-I :
Quantity-II :

38. Read the given Quantity above carefully :

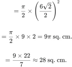
One of the equal sides of a right angled isosceles triangle () measures is a perpendicular bisector.
Quantity-I : Area of semicircle formed by (as the diameter).
Quantity-II : Area of a triangle whose height and base measure and respectively.

Correct Answer: (1)
Solution:

Quantity-I :




 Area of semi-circle 

Quantity-II :

Clearly, quantity-I quantity-II.

39. A alone can complete a task in 10 days. A and B worked together for 3 days, after which C replaced B. A was 50% more efficient than C. After A and C had worked together for 3 days, 13% of the task was incom- plete. In approximately how many days can B (working alone) complete the entire task?

Correct Answer: (5) 43
Solution:Time taken by C

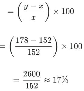
40. Train-A (travelling at 54 km/ h) crosses a 298 metre long platform in 30 seconds. Train - B (travelling at 72 km/h.) overtakes Train-A in 66 seconds. Train-B's length is approximately what percent more than that of Train-A?

Correct Answer: (3) 17
Solution:

Speed of train-A

=15 metre/second
If the length of train-A be metre, then