SET THEORY (CDS)

Total Questions: 14

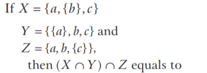
1. Solve the following equation [2019 (II) Evening Shift ]

Correct Answer: (d) φ
Solution:

2. (Questions 2-5) Consider the following for the next 04 (four) items that follow : [2018 (II) Evening Shift]

In an examination of class XII, 55% students passed in Biology, 62% passed in Physics, 60% passed in Chemistry, 25% passed in Physics and Biology, 30% passed in Physics and Chemistry, 28% passed in Biology and Chemistry. Only 2% failed in all the subjects.

What percentage of students passed in all the three subjects?

Correct Answer: (c) 4
Solution:Given, n (B) = 55%


3. What percentage of students passed in exactly one subject? [2018 (II) Evening Shift]

Correct Answer: (b) 23
Solution:Percentage of students passed in exactly one subject

4. If the number of students in 360, then how many students passed in atleast two subjects? [2018 (II) Evening Shift]

Correct Answer: (a) 270
Solution:Percentage of students passed in exactly two subject

5. What is the ratio of number of students who passed in both Physics and Chemistry to number of students who passed in both Biology and Physics but not Chemistry ? [2018 (II) Evening Shift]

Correct Answer: (b) 10 : 7
Solution:Percentage of students passed in both Physics and Chemistry = 30%

6. Which one of the following is a correct statement? [2017 (II) Evening Shift]

Correct Answer: (b) {x : x + 5 = 5} = {0}
Solution:Clearly, x + 5 = 5
⇒ x = 5 - 5 = 0
{x : x + 5 = 5} = {0}

7. If A = { x : x is a multiple of 7} [2017 (I) Morning Shift]

B= {x : x is a multiple of 5} and
C= { x : x is a multiple of 35} then

which one of the following is a null set?

Correct Answer: (d) (A ∩ B) - C
Solution:We have,

8. Let A = {7, 8, 9, 10, 11, 12} and B = {7, 10, 14, 15} What is the number of elements in (A - B) and (B - A), respectively? [2016 (II) Evening Shift]

Correct Answer: (b) 4 and 2
Solution:Given, A = {7, 8, 9, 10, 11, 12}


9. In a gathering of 100 people, 70 of them can speak Hindi, 60 can speak English and 30 can speak French. Further, 30 of them can speak both Hindi and English, 20 can speak both Hindi and French. If x is the number of people who can speak both English and French, then which one of the following is correct? (Assume that everyone can speak atleast one of the three languages) [2016 (I) Morning Shift]

Correct Answer: (b) 0 ≤ x < 8
Solution:Let A B, andC be the number of people who can speak Hindi, English and French respectively.


10. Let A denotes the set of quadrilaterals having two diagonals equal and bisecting each other. Let B denotes the set of quadrilaterals having diagonals bisecting each other at 90°. Then, A ∩ B denotes [2015 (II) Evening Shift]

Correct Answer: (c) the set of squares
Solution:A = diagonals equal and bisecting each other.
B = diagonals bisecting each other at 90°.
A is square or rectangle. and B diagonal bisecting each other at rightangle. So, A ∩ B = the set of squares.