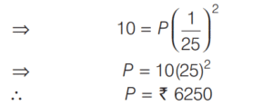
SIMPLE AND COMPOUND INTEREST (CDS)Total Questions: 1911. The difference between the simple and the compound interest on a certain sum of money at 4% per annum for 2 yr is ₹10. What is the sum? [2017 (I) Morning Shift ](a) ₹5000(b) ₹6000(c) ₹6250(d) ₹7500Correct Answer: (c) ₹6250Solution:We have, 12. If a sum of money at a certain rate of simple interest per year doubles in 5 year and at a different rate of simple interest per year becomes three times in 12 year, then the difference in the two rates of simple interest per year is [2016 (I) Morning Shift ](a) 2 %(b) 3 %(c) 3⅓ %(d) 4⅓ %Correct Answer: (c) 3⅓ %Solution:Let principal = ₹P, then amount of money = ₹2P, T = 5year13. A sum of ₹10000 is deposited for 1 yr at the rate of interest 10% compounded half yearly. What will be the interest at the end of one year? [2015 (II) Evening Shift ](a) ₹1000(b) ₹1025(c) ₹1050(d) ₹1100Correct Answer: (b) ₹1025Solution:Given, P = ₹10000, r = 10% and14. The difference between compound interest and simple interest at the same rate of interest R% per annum on an amount of ₹15000 for 2 year is ₹96. What is the value of R? [2015 (I) Morning Shift ](a) 8%(b) 10%(c) 12%(d) Cannot be determinedCorrect Answer: (a) 8%Solution:Given, principal (P) = ₹15000 , 15. An automobile financer claims to be lending money at simple interest, but he includes the interest every six months for calculating the principal. If he is charging an interest at the rate of 10%, the effective rate of interest become [2015 (I) Morning Shift ](a) 10.25%(b) 10.5%(c) 10.75%(d) 11%Correct Answer: (a) 10.25%Solution:Let the principal be ₹100.16. There is 60% increase in an amount in 6 year at simple interest. What will be the compound interest on ₹12000 after 3 year at the same rate of interest? [2015 (I) Morning Shift ](a) ₹2160(b) ₹3120(c) ₹3972(d) ₹6240Correct Answer: (c) ₹3972Solution:Let the principal be ₹x.17. In how much time would the simple interest on a principal amount be 0.125 times the principal amount at 10% per annum? [2015 (I) Morning Shift ](a) 1 ¼ year(b) 1 ¾ year(c) 2 ¼ year(d) 2 ¾ yearCorrect Answer: (a) 1 ¼ yearSolution:Let the principal be ₹P and the time be T year.18. The difference between compound interest and simple interest for 2 year at the rate of 10% over principal amount of ₹X is ₹10. What is the value of X? [2014 (II) Evening Shift](a) ₹100(b) ₹1000(c) ₹500(d) ₹5000Correct Answer: (b) ₹1000Solution:Given, principal amount(P) = ₹X 19. A sum of money becomes 3 times in 5 yr at simple interest. In how many years, will the same sum become 6 times at the same rate of simple interest? [2014 (II) Evening Shift](a) 10 year(b) 12 year(c) 12.5 year(d) 10.5 yearCorrect Answer: (c) 12.5 yearSolution:Let principal amount P be ₹x . Submit Quiz« Previous12