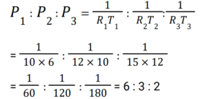
Simple Interest (Railway Maths) (Part – I)Total Questions: 5011. Ramesh sharma borrows Rs 8,000 for 3 years at 5% p.a. simple interest. He lends it to Manohar at 7% p.a. for 3 years. Find his gain? [NTPC CBT - I 08/01/2021 (Evening) ](a) Rs. 580(b) Rs. 480(c) Rs. 450(d) Rs. 460Correct Answer: (b) Rs. 480Solution:12. Balaji invested 1/7 of his total investment at 4%, 1/2 at 5% and the rest at 6% for 1 year. He received a total interest of Rs.730. What was the total sum invested? [NTPC CBT - I 21/01/2021 (Evening) ](a) Rs.24,000(b) Rs.14,000(c) Rs. 7,000(d) Rs, 38,000Correct Answer: (b) Rs.14,000Solution:13. How much money (in Rs.) at compound interest will amount to Rs. 5,000 in 3 years if the rate of interest is 2% for the 1st year, 3% for the 2nd year and 4% for the 3rd year? [NTPC CBT - I 16/02/2021 (Morning) ](a) 5000/1.2 × 1.3 × 1.4(b) 5000(c) 5000/1.09(d) 5000/1.24Correct Answer: (c) 5000/1.09Solution:14. Mr Ram invests an amount of Rs. 12,200 at the rate of 2% per annum for 4 years to obtain a simple interest. Later he invests the principal as well as the amount obtained as simple interest for another 4 years at the same rate of interest. What amount of simple interest will he get at the end of the last 4 years? [NTPC CBT - I 23/02/2021 (Morning) ](a) Rs.1,054.00(b) Rs.1,056.07(c) Rs.1,054.08(d) Rs.1,055.08Correct Answer: (c) Rs.1,054.08Solution:15. A man invests money in three different schemes for 6 years, 10 years and 12 years, at 10%, 12% and 15% simple interest , respectively. If at the completion of each scheme, he gets the same interest then the ratio of the respective investments is: [NTPC CBT - I 01/03/2021 (Morning) ](a) 7 : 4 : 3(b) 5 : 4 : 3(c) 6 : 3 : 2(d) 4 : 3 : 2Correct Answer: (c) 6 : 3 : 2Solution:16. Find the answer of given question? [NTPC CBT - I 14/03/2021 (Morning) ](a) Rs. 36800(b) Rs. 39500(c) Rs. 38400(d) Rs. 27600Correct Answer: (c) Rs. 38400Solution:17. If a sum invested at simple interest triples itself in 8 years, how many times of itself will it be in 12 years? [NTPC CBT - I 15/03/2021 (Morning)](a) 4 times(b) 3.5 times(c) 3 times(d) 5 timesCorrect Answer: (a) 4 timesSolution:18. A sum of money when invested for 7.2 years gives Rs 5,768 as the amount on maturity. If the Simple rate of Interest was 2% per annum more than what it was, the amount on maturity would have been Rs 6,272. The original sum invested was: [NTPC CBT - I 23/07/2021 (Morning)](a) Rs. 3,500(b) Rs. 4,000(c) Rs. 3,250(d) Rs. 3,750Correct Answer: (a) Rs. 3,500Solution:19. The Simple Interest for the first 2 years is 6%, next 2 years is 7% and for any number of years exceeding 4 years is 8%. Find the total interest on a principal ‘P’ at the end of 7 years. [RRB JE 31/05/2019 (Afternoon)](a) 3P/2(b) P/2(c) P(d) 2PCorrect Answer: (b) P/2Solution:20. A sum of money was invested at the rate of 7.5% simple interest per annum for 4 years. If the investment was for 5 years, the interest earned would have been ₹375 more. What was the initial sum invested? [RRB ALP Tier-I 09/08/2018 (Afternoon)](a) ₹4,500(b) ₹5,000(c) ₹4,750(d) ₹3,750Correct Answer: (b) ₹5,000Solution:Submit Quiz« Previous12345Next »