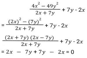
Simplification (Part-2)Total Questions: 501. The value of N in the equation [SSC CGL 25/09/2024 (3rd Shift)]9 × N of 4 ÷ 4 - 15 × 4 = 12(a) 9(b) 0(c) 12(d) 8Correct Answer: (d) 8Solution:2. Simplify [SSC CGL 26/09/2024 (1st Shift)](a) 96(b) 98(c) 112(d) 108Correct Answer: (a) 96Solution:3. Simplify the following expression. [SSC CGL 26/09/2024 (2nd Shift)](60 + 64 ÷ 4 of 4) × {1000 ÷ ((10 of (3 + 2)) × 2 of 5)} - 28 + (100 × 3 of 3).(a) 600(b) 1000(c) 100(d) 500Correct Answer: (b) 1000Solution:4. Simplify 626 × 2912 ÷ 8138 [SSC CGL 26/09/2024 (3rd Shift)](a) 285(b) 224(c) 364(d) 310Correct Answer: (b) 224Solution:5. Simplify [SSC CGL 26/09/2024 (3rd Shift)](a) 4x - 14y(b) 7y(c) 4x(d) 0Correct Answer: (d) 0Solution:6. The value of...... [SSC CHSL 01/07/2024 (2nd Shift)](a)(b)(c)(d)Correct Answer: (b)Solution:7. What is the value of the following expression? [SSC CHSL 01/07/2024 (2nd Shift)](a) 1759/3250(b) 1113/856(c) 853/1610(d) 1093/111Correct Answer: (c) 853/1610Solution:8. Simplify the following expression. [SSC CHSL 02/07/2024 (2nd Shift)](3 - 3 × 3 + 3 ÷ 3 + 3 × 5) × 2 of 5 + (2 + 2 ÷ 2 + 2 × 2 - 2)(a) 102(b) 100(c) 105(d) 106Correct Answer: (c) 105Solution:9. Simplify [SSC CHSL 02/07/2024 (3rd Shift)](a) 200(b) 145(c) 110(d) 198Correct Answer: (a) 200Solution:10. Simplify the following expression. [SSC CHSL 02/07/2024 (3rd Shift)](a) 30(b) 26(c) 25(d) 27Correct Answer: (d) 27Solution:Submit Quiz12345Next »