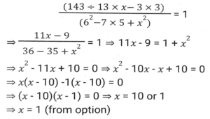
Simplification (Part-2)Total Questions: 5021. The value of [3³{(40 × 5) + (7 × 6)} ÷ 11] + (2³ × 15 ÷ 24) is: [SSC CHSL 10/07/2024 (3rd Shift) ](a) 559(b) 595(c) 599(d) 959Correct Answer: (c) 599Solution:22. If '÷' means '×', '×' means '÷', '+' means '-', '-' means '+', then 47 ÷ (10 × 5) + (4 - 5) - 6 is: [SSC CHSL 10/07/2024 (4th Shift)](a) 100(b) 59(c) 79(d) 91Correct Answer: (d) 91Solution:23. What is the value of..... [SSC CHSL 11/07/2024 (1st Shift) ](a) 1(b) 0(c) 3(d) 2Correct Answer: (a) 1Solution:24. Simplify the following expression. [SSC CPO 27/06/2024 (1st Shift)](a)(b)(c)(d)Correct Answer: (d)Solution:25. Find the value of [18 - 3 × {3 - 3 × (3 ÷ 1/3 - 3) + 3 ÷1/3 + 3} - 4 × 2]. [SSC CPO 27/06/2024 (1st Shift)](a) 18(b) 19(c) 12(d) 15Correct Answer: (b) 19Solution:26. Find the value of 12 + 24 ÷ 2 - 7 × 30 ÷ 6 + (5 + 4) × 8 + 8 ÷ 8 - 8. [SSC CPO 27/06/2024 (1st Shift)](a) 45(b) 85(c) 54(d) 58Correct Answer: (c) 54Solution:27. The possible value of x satisfying [SSC CPO 27/06/2024 (1st Shift)](a) 1(b) 3(c) 2(d) 4Correct Answer: (a) 1Solution:28. Find the value of [SSC CPO 27/06/2024 (2nd Shift)](a) 5(b) 3(c) 1(d) 2Correct Answer: (b) 3Solution:29. Simplifiy the following expression. [SSC CPO 27/06/2024 (2nd Shift)]25 × 25 + 9 × 9 + 6 × 6 + 2 × 25 × 9 + 2 × 9 × 6 + 2 × 25 × 6(a) 900(b) 1200(c) 1600(d) 2500Correct Answer: (c) 1600Solution:30. The value of.... [SSC CPO 27/06/2024 (2nd Shift)](a) 2(b) 0(c) 1(d) -1Correct Answer: (b) 0Solution:Submit Quiz« Previous12345Next »