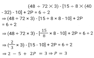
Simplification (Part-3)Total Questions: 5021. If (48 ÷ 72 × 3) - [15 ÷ 8 × (40 - 32) - 10] + 2P = 6 ÷ 2, then find the value of P [SSC CPO 03/10/2023 (3rd Shift)](a) 2(b) 4(c) 1(d) 3Correct Answer: (d) 3Solution:22. The value of.... [SSC CPO 05/10/2023 (1st Shift)](a) 38(b) 33(c) 36(d) 40Correct Answer: (c) 36Solution:23. Simplify the given expression. [SSC CPO 05/10/2023 (3rd Shift)]b + 2a - [(3b + a) - (2a + b) + 2a] - a(a) -a(b) -b(c) a(d) bCorrect Answer: (b) -bSolution:24. Simplify the given expression. [SSC MTS 04/09/2023 (3rd Shift)](a) 30(b) 119(c) 50(d) 71Correct Answer: (d) 71Solution:25. Simplify [SSC MTS 11/09/2023 (1st Shift)](a)(b)(c)(d)Correct Answer: (c)Solution:26. What is the value of.... [SSC MTS 12/09/2023 2023 (2nd Shift)](a) 2(b) 1(c) 3(d) 4Correct Answer: (d) 4Solution:27. If the mathematical symbols in the expression given below are changed from '+' to '÷' '-' to' ×',÷' to '-'and '×' to '+'. then what will be the value of the expression? [SSC CHSL 07/08/2023 (3rd Shift)]87 × 256 + 16 - 77 ÷ 1359(a) 20(b) -40(c) 40(d) -20Correct Answer: (b) -40Solution:28. Simplify [SSC CHSL 08/08/2023 (2nd Shift)](a) 1/6(b) 6(c) 1/9(d) 9Correct Answer: (d) 9Solution:29. Simplify the given expression. [SSC CHSL 08/08/2023 (2nd Shift)](a) 0.6755(b) 0.9025(c) 0.8125(d) 0.7835Correct Answer: (c) 0.8125Solution:30. Simplify [SSC CHSL 08/08/2023 (4th Shift)](a) 7.7(b) 9.9(c) 8.8(d) 6.6Correct Answer: (b) 9.9Solution:Submit Quiz« Previous12345Next »