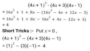
Simplification (Part-3)Total Questions: 5031. Simplify the given expression. [SSC CHSL 14/08/2023 (2nd Shift)](a) 4(b) -2(c) 2(d) -4Correct Answer: (a) 4Solution:32. Simplify the given expression and find the value for x = -1. [SSC CHSL 17/08/2023 (3rd Shift)](a) -1(b) 0(c) 1(d) 2Correct Answer: (a) -1Solution:33. Simplify the given expression. [SSC CGL 17/07/2023 (1st Shift)]y + 2x - [y - (y - x + y) - (x + y) + y] - 2y.(a) -y(b) -2x(c) y(d) 2xCorrect Answer: (d) 2xSolution:34. Simplify the following [SSC CGL 19/07/2023 (1st Shift)](a)(b)(c)(d)Correct Answer: (c)Solution:35. Simplify the given expression. [SSC CGL 21/07/2023 (1st Shift)](a - 2b) (b - 3a) + (a + b) (a -3b) - (b - 3a) (4a - 5b)(a) 8a² - 10ab(b) 8a² +10ab(c) 10a² - 14ab(d) 10a² - 4abCorrect Answer: (c) 10a² - 14abSolution:36. Simplify the following expression. [SSC CGL 24/07/2023 (2nd Shift)](4x + 1)² - (4x + 3) (4x - 1)(a) (4x + 1)(b) 4(c) (4x - 3)(d) 4xCorrect Answer: (a) (4x + 1)Solution:37. What vlaue of 'y' will satisfy the following equation? [SSC CGL 25/07/2023 (1st Shift)](a) 2/3(b) 5/4(c) 4/5(d) 3/2Correct Answer: (c) 4/5Solution:38. Simplify the expression √x - √y / √x + √y ,where x = 2 and y = 3. [SSS CGL 25/07/2023 (4th Shift)](a) 2√6 - 6(b) √6 - 5(c) 5 - 2√6(d) 2√6 - 5Correct Answer: (d) 2√6 - 5Solution:39. Simplify 52 × 52 - 48 × 48. [Higher Secondary 27/06/2023 (Shift-3)](a) 386(b) 400(c) 424(d) 326Correct Answer: (b) 400Solution:40. What is the correct desending order of the following ratios ? [SSC CHSL Tier II (26/06/2023)](a)(b)(c)(d)Correct Answer: (b)Solution:Submit Quiz« Previous12345Next »