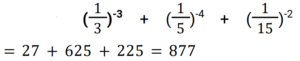
Simplification (Railway Maths) (01 to 50)Total Questions: 501. Find the answer of given question? [Group D 17/08/2022 ( Afternoon ) ](a) 14/33(b) 41/165(c) 13/33(d) 41/990Correct Answer: (a) 14/33Solution:2. Find the answer of given equation? [Group D 17/08/2022 ( Evening ) ](a) 17/90(b) 34/45(c) 23/63(d) 19/99Correct Answer: (a) 17/90Solution:3. The value of 5³ × 5⁴ × 5² = ? [Group D 18/08/2022 (Morning)](a) 5⁹(b) 5⁷(c) 5⁶(d) 5⁵Correct Answer: (a) 5⁹Solution:4. Simplify (1/3)⁻³ + (1/5)⁻⁴ + (1/15)⁻². [Group D 18/08/2022 (Evening)](a) 877(b) 856(c) 777(d) 756Correct Answer: (a) 877Solution:5. Which of the following options is the closest approximate value which will come in place of question mark (?) in the following equation? [Group D 22/08/2022 (Morning)](√360 + 12 ÷ 6 × 3 − √170) ÷ 2 = ?(a) 4(b) 6(c) 5(d) 8Correct Answer: (b) 6Solution:6. Simplify: [Group D 22/08/2022 (Morning)]3x (x − 6) + x² + 6x − 9 + 24 − x³(a) 15 − 12x + 4x² + x³(b) 15 + 12x + 4x² − x³(c) 15 − 12x + 4x² − x³(d) 15 + 12x + 4x² + x³Correct Answer: (c) 15 − 12x + 4x² − x³Solution:3x (x − 6) + x² + 6x − 9 + 24 − x³ ⇒ 3x² − 18x + x² + 6x − 9 + 24 − x³ ⇒ 15 − 12x + 4x² − x³7. Find the answer of given equation? [Group D 22/08/2022 ( Morning ) ](a)(b)(c)(d)Correct Answer: (a)Solution:8. If 2³ᵏ ⁻ ⁵ = 4096, then find the value of k. [Group D 23/08/2022 ( Evening ) ](a) 11(b) 7(c) 13/6(d) 17/3Correct Answer: (d) 17/3Solution:2³ᵏ ⁻ ⁵ = 4096 ⇒ 2³ᵏ ⁻ ⁵ = 2¹² ⇒ 3k − 5 = 12 ⇒ 3k = 12 + 5 ⇒ 3k = 17 ⇒ k = 17/39. Simplify the equation? [Group D 24/08/2022 ( Morning ) ](a) 6.56(b) 6.94(c) 6.99(d) 6.96Correct Answer: (d) 6.96Solution:10. Simplify:(x² + m² − z²)² − (x² − m² + z²)² = ?(a) 3x² (m² − z²)(b) 4x² (m² − z²)(c) 2x² (m² − z²)(d) 4x (m² − z²)Correct Answer: (b) 4x² (m² − z²)Solution:Submit Quiz12345Next »