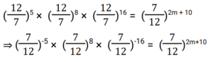
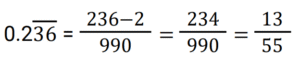
Simplification (Railway Maths) (01 to 50)Total Questions: 5011. Arrange the following fractions in ascending order. 1/3 , 4/7 , 2/5 , 5/6 , 3/5 [Group D 24/08/2022 (Afternoon)](a) 1/3 , 2/5 , 4/7 , 3/5 , 5/6(b) 2/5 , 1/3 , 3/5 , 4/7 , 5/6(c) 5/6 , 1/3 , 4/7 , 2/5 , 3/5(d) 1/3 , 2/5 , 3/5 , 4/7 , 5/6Correct Answer: (a) 1/3 , 2/5 , 4/7 , 3/5 , 5/6Solution:12. If (a + 1) / a = k, then find the value of (a² − 1) / a². [Group D 24/08/2022 (Afternoon)](a) k − 2k²(b) k² + 2(c) k + 2(d) 2k − k²Correct Answer: (b) k² + 2Solution:13. Simplify the equation? [Group D 25/08/2022 ( Afternoon ) ](a) 7/33(b) 9/44(c) 17/66(d) 13/55Correct Answer: (d) 13/55Solution:14. Simplify:(a + 2b − c)(b − c) + (a − c)2b + b².(a) 3ab − 5bc − ac − 2abc(b) 2b² + 3ab − 4bc + c(c) 3b² + c² + 3ab − 5bc − ac(d) 3b² + 3ab − 5bc − acCorrect Answer: (c) 3b² + c² + 3ab − 5bc − acSolution:15. The numerator of a fraction is one less than the denominator. If 6 is added to the numerator, the fraction will be equal to 5/4. Find the fraction. [Group D 30/08/2022 (Morning) ](a) -20/21(b) 19/20(c) 20/21(d) -21/20Correct Answer: (b) 19/20Solution:16. A man plants 21,025 mango trees in his garden in such a way that there are as many rows as there are mango trees in each row. Find the number of rows. [Group D 30/08/2022 (Afternoon) ](a) 130(b) 135(c) 145(d) 125Correct Answer: (c) 145Solution:17. (a¹⁰ × b⁻⁷ × c⁻⁴) / (a⁻⁵ × b² × c⁵) in simplified form is: [Group D 30/08/2022 (Evening)](a) a¹⁵ × b⁹ × c⁹(b) a⁵ × b⁻⁹ × c⁻⁹(c) a⁵ × b⁹ × c⁻⁹(d) a¹⁵ × b⁻⁹ × c⁻⁹Correct Answer: (d) a¹⁵ × b⁻⁹ × c⁻⁹Solution:18. Simplify the equation? [Group D 02/09/2022 (Afternoon) ](a) 9(b) 3(c) 6(d) 5Correct Answer: (a) 9Solution:19. If (12/7)⁵ × (7/12)⁸ × (12/7)¹⁶ = (7/12)²ᵐ⁺¹⁰, then m = ? [Group D 08/09/2022 (Afternoon)](a) −1(b) 23/2(c) 19/2(d) −23/2Correct Answer: (d) −23/2Solution:20. Simplify: [Group D 14/09/2022 (Morning) ](a) 1/3(b) 4/3(c) 3(d) 3/4Correct Answer: (d) 3/4Solution:Submit Quiz« Previous12345Next »