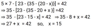
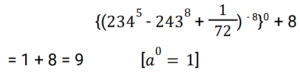
Simplification (Railway Maths) (101 to 150)Total Questions: 5011. If 25x³ = 1600, then which of the following is a possible value of x? [Group D 26/08/2022 (Morning)](a) 5(b) 3(c) 4(d) 2Correct Answer: (c) 4Solution:12. If 5 × 7 − [23 − (35 − (20 − x))] = 42, then find the value of x? [Group D 26/08/2022 (Afternoon)](a) −15(b) 15(c) 17(d) −17Correct Answer: (b) 15Solution:13. Which of the following represents the closest approximate value that should come in place of the question mark (?) in the following equation? [Group D 26/08/2022 (Afternoon)](√530 + 85 ÷ 24 × 4 − √255) ÷ 3 = ?(a) 7(b) 15(c) 4(d) 1Correct Answer: (a) 7Solution:14. Find the answer of given question? [Group D 26/08/2022 ( Afternoon ) ](a) 465/173(b) 214/495(c) 173/465(d) 495/214Correct Answer: (b) 214/495Solution:15. If one third of a number is 4 less than the number itself, find the number. [Group D 26/08/2022 (Afternoon) ](a) 4(b) 5(c) 6(d) 3Correct Answer: (c) 6Solution:16. Find the answer of given question?(a) 3287 / 21780(b) 3807 / 24975(c) 3337 / 34160(d) 3307 / 24975Correct Answer: (d) 3307 / 24975Solution:17. What approximate value should come in place of the question mark (?) in the following equation? [ Group D 26/08/2022 (Evening) ]99.01 ÷ 10.93 + 6.987 × 16.01 = ?(a) 133(b) 129(c) 121(d) 145Correct Answer: (c) 121Solution:99.01 ÷ 10.93 + 6.987 × 16.01 = 99 ÷ 11 + 7 × 16 = 9 + 112 = 12118. Find the remainder when 171 × 172 × 173 is divided by 17? [Group D 26/08/2022 (Evening) ](a) 9(b) 7(c) 8(d) 6Correct Answer: (d) 6Solution:171 × 172 × 173 ÷ 17 = 1 × 2 × 3 = 619. Solve: [Group D 26/08/2022 (Evening)]3(5x² − 7) − 5(3x² + 2x − 7) = −16(a) 4(b) 5(c) 3(d) 2Correct Answer: (c) 3Solution:3(5x² − 7) − 5(3x² + 2x − 7) = −16 ⇒ 15x² − 21 − 15x² − 10x + 35 = −16 ⇒ 10x = 14 + 16 ⇒ 10x = 30 ⇒ x = 320. The value of {(234⁵ − 243⁸ + 1/72)⁻⁸}⁰ + 8 = ? [Group D 29/08/2022 (Morning)](a) 234(b) 9(c) 243(d) 10Correct Answer: (b) 9Solution:Submit Quiz« Previous12345Next »