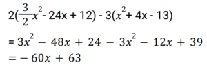
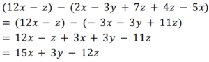
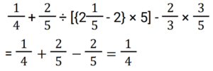
Simplification (Railway Maths) (101 to 150)Total Questions: 5021. The value of 1/4 + 2/5 ÷ [{2 1/5 − 2} × 5] − 2/3 × 3/5 is: [Group D 29/08/2022 (Morning)](a) 3/5(b) 2/3(c) 1/4(d) 5/6Correct Answer: (c) 1/4Solution:22. The fraction equivalent to 0.4363636...... is:(a) 24/55(b) 236/99(c) 42/99(d) 42/100Correct Answer: (a) 24/55Solution:23. Subtract the sum of 2x − 3y + 7z and 4z − 5x from 12x − z. [Group D 29/08/2022 (Morning)](a) 15x + 3y − 12z(b) x + 12y − 12z(c) 3x + 3y − 3z(d) 4x + 7yCorrect Answer: (a) 15x + 3y − 12zSolution:24. Find the value of √9604. [Group D 29/08/2022 (Afternoon)](a) 74(b) 98(c) 89(d) 72Correct Answer: (b) 98Solution:√9604 = √(2 × 2 × 7 × 7 × 7 × 7) = 2 × 7 × 7 = 9825. The value of 3/7 + 2/7 + 1/14 + 2/7 - 3? [Group D 29/08/2022 (Afternoon) ](a) 27/14(b) -27/14(c) 13/14(d) -13/14Correct Answer: (b) -27/14Solution:26. The value of 0.2 × 0.2 × 0.2 − 0.02 × 0.02 × 0.02/ 2 × 2 × 2 = ? [Group D 29/08/2022 (Afternoon) ](a) 0.0090(b) 0.000999(c) 0.999(d) 0.00999Correct Answer: (b) 0.000999Solution:27. Simplify x(2x - 5) + 6(x² - 4) + 18? [Group D 29/08/2022 (Afternoon) ](a) 8x² + 5x + 6(b) 8x² + 5x − 6(c) 8x² − 5x + 6(d) 8x² − 5x − 6Correct Answer: (d) 8x² − 5x − 6Solution:x(2x - 5) + 6(x² - 4) + 18 = 2x² - 5x + 6x² - 24 + 18 = 8x² - 5x - 628. Simplify: 9991 × 10009? [Group D 29/08/2022 (Afternoon)](a) 91,999,919(b) 99,999,19(c) 99,999,919(d) 99,999,99Correct Answer: (c) 99,999,919Solution:9991 × 10009 = (10000 − 9) × (10000 + 9) = 100000000 − 81 = 99,999,91929. Simplify 2(3/2 x² − 24x + 12) − 3(x² + 4x − 13)? [Group D 29/08/2022 (Evening)](a) −60x + 63(b) 60x − 63(c) 60x + 63(d) −60x − 63Correct Answer: (a) −60x + 63Solution:30. Which of the following options is the closest approximate value which will come in place of the question mark (?) in the following equation?(√142 + 52 ÷ 26 × 5 − √80) × 2 = ?(a) 32(b) 30(c) 26(d) 20Correct Answer: (c) 26Solution:Submit Quiz« Previous12345Next »