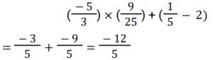
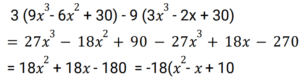
Simplification (Railway Maths) (101 to 150)Total Questions: 5031. 7.44 ... + 3.77 ... - 2.55 ... =? [Group D 29/08/2022 (Evening)](a) 78/9(b) 83/9(c) 124/9(d) 74/9Correct Answer: (a) 78/9Solution:32. Simplify (2.46 × 2.46 − 1.46 × 1.46) / 2.46 − 1.46, giving your answer as a fraction.(a) 392/10(b) 392/10000(c) 392/1000(d) 392/100Correct Answer: (d) 392/100Solution:33. The value of (18 ÷ 9) × (−7 + 9) − 7 × 2 = ? [Group D 30/08/2022 (Morning)](a) −10(b) −13(c) −6(d) −12Correct Answer: (a) −10Solution:(18 ÷ 9) × (−7 + 9) − 7 × 2= 2 × 2 − 14= −1034. The Value of (0.5 × 10.6 − 0.2 × 1.4) / 0.4? [Group D 30/08/2022 (Afternoon)](a) 12.25(b) 12.55(c) 1.255(d) 125.5Correct Answer: (b) 12.55Solution:(0.5 × 10.6 − 0.2 × 1.4) / 0.4= (5.3 − 0.28) / 0.4= 5.02 / 0.4= 12.5535. The value of 121.12 × 0.121 is: [Group D 30/08/2022 (Evening)](a) 14.65552(b) 1.465552(c) 1465.552(d) 146.5552Correct Answer: (a) 14.65552Solution:121.12 × 0.121 = 14.6555236. Simplify:x³ − 3x² + 9x − 12 − x³ − 7x² − 8x − 16(a) 10x² + x − 28(b) −10x² + x + 28(c) −10x² + x − 28(d) 10x² − x − 28Correct Answer: (c) −10x² + x − 28Solution:x³ − 3x² + 9x − 12 − x³ − 7x² − 8x − 16= −10x² + x − 2837. The value of √1.0201 = ?(a) 10.1(b) 1.02(c) 1.01(d) 101Correct Answer: (c) 1.01Solution:38. Simplify: [Group D 01/09/2022 (Morning)]3(9x³ − 6x² + 30) − 9(3x³ − 2x + 30)(a) 18(x² + x + 10)(b) 18(x² + x − 10)(c) −18(x² − x + 10)(d) 18(x² + x − 18)Correct Answer: (c) −18(x² − x + 10)Solution:39. The value of (−5/3) × (9/25) + (1/5 − 2) = ? [Group D 01/09/2022 (Morning)](a) −4/5(b) −12/5(c) 0(d) 9/5Correct Answer: (b) −12/5Solution:40. Simplify 2³ × 3² × 7? [Group D 01/09/2022 (Afternoon)](a) 702(b) 504(c) 506(d) 603Correct Answer: (b) 504Solution:2³ × 3² × 7 ⇒ 8 × 9 × 7 = 504Submit Quiz« Previous12345Next »