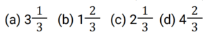
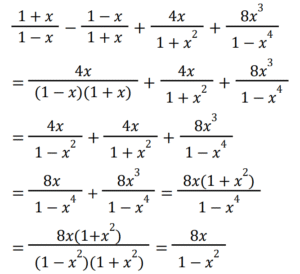
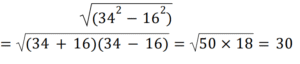
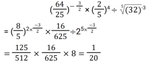
Simplification (Railway Maths) (101 to 150)Total Questions: 5041. The simplified value of (0.11)² + (0.06)² + (0.031)² / (0.011)² + (0.006)² + (0.0031)² is: [Group D 01/09/2022 (Evening)](a) 10(b) 1(c) 1000(d) 100Correct Answer: (d) 100Solution:42. The positive square root of (34² − 16²) is: [Group D 02/09/2022 (Morning)](a) 60(b) 40(c) 30(d) 50Correct Answer: (c) 30Solution:43. Simplify the given expression: [Group D 02/09/2022 (Morning)](a) 12(b) 24(c) 32(d) 16Correct Answer: (c) 32Solution:44. Find the answer of given question? [Group D 02/09/2022 (Morning) ](a)(b)(c)(d)Correct Answer: (c)Solution:45. Find the answer of given question? [Group D 02/09/2022 (Afternoon) ](a)(b)(c)(d)Correct Answer: (d)Solution:46. The value of √74529 is: [Group D 02/09/2022 (Evening)](a) 239(b) 243(c) 273(d) 259Correct Answer: (c) 273Solution:47. If a = 5, then √(4a² − 4a + 1) + 6a is? [Group D 02/09/2022 (Evening)](a) 69(b) 59(c) 49(d) 39Correct Answer: (d) 39Solution:48. Find the answer of given question? [Group D 05/09/2022 (Morning) ](a) 8/25(b) 1/20(c) 1/5(d) 2/5Correct Answer: (b) 1/20Solution:49. Simplify the equation? [Group D 05/09/2022 (Afternoon) ](a)(b)(c)(d)Correct Answer: (b)Solution:50. Simplify the equation? [Group D 05/09/2022 (Evening) ](a) 88/165(b) 164/495(c) 229/990(d) 219/495Correct Answer: (c) 229/990Solution:Submit Quiz« Previous12345