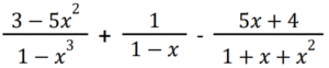
Simplification (Railway Maths) (151 to 200)Total Questions: 501. Simplify the given expression. [Group D 05/09/2022 (Evening) ](a)(b)(c)(d)Correct Answer: (c)Solution:2. Simplify the given expression. [Group D 05/09/2022 (Evening) ](a) 4/9(b) 2/3(c) 3/5(d) 3/8Correct Answer: (a) 4/9Solution:3. Convert 25 grams to kilograms and express the answer in the form of a fraction. [Group D 06/09/2022 (Morning) ](a) 1/4kg(b) 1/4000kg(c) 1/400kg(d) 1/40kgCorrect Answer: (d) 1/40kgSolution:4. Find the answer of given equation? [Group D 06/09/2022 (Morning) ](a)(b)(c)(d)Correct Answer: (a)Solution:5. If (512/125)³ × (512/125)ᵏ = (8/5)¹⁵, then find the value of k. [Group D 06/09/2022 (Afternoon)](a) −1(b) 3(c) −2(d) 2Correct Answer: (d) 2Solution:6. Which of the following represents the closest approximate value that should come in place of the question mark (?) in the following equation? [Group D 06/09/2022 (Afternoon)]√1025 + 98 ÷ 14 × 4 − √170 = ?(a) 47(b) 60(c) 70(d) 27Correct Answer: (a) 47Solution:7. Find the answer of given equation?(a)(b)(c)(d)Correct Answer: (c)Solution:8. Find the value of [Group D 06/09/2022 (Evening) ]183 × 183 × 183 − 73 × 73 × 73 / 183 × 183 × + 183 × 73 + 73.(a) 210(b) 110(c) 256(d) 136Correct Answer: (b) 110Solution:9. Find the answer of given question? [Group D 08/09/2022 (Morning) ](a) 178/495(b) 359/990(c) 119/330(d) 179/495Correct Answer: (a) 178/495Solution:10. The value of (9.8 × 9.8 − 5.8 × 5.8) / 2 × (7.8) is: [Group D 08/09/2022 (Afternoon) ](a) 4(b) 6(c) 3(d) 5Correct Answer: (a) 4Solution:Submit Quiz12345Next »