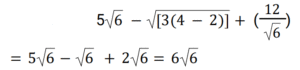
Simplification (Railway Maths) (151 to 200)Total Questions: 5011. The value of 5√6 − √[3(4 − 2)] + (12/√6) is: [Group D 08/09/2022 (Evening)](a) 8√6(b) 7√6(c) 5√6(d) 6√6Correct Answer: (d) 6√6Solution:12. The value of √625 + √0.25 − √0.000025 is: [Group D 08/09/2022 (Evening)](a) 25.405(b) 25.5(c) 25.395(d) 25.495Correct Answer: (d) 25.495Solution:13. The value of 39 ÷ {6 × (6/7 of 7/8)} is: [Group D 09/09/2022 (Morning)](a) 25/3(b) 28/3(c) 26/3(d) 23/3Correct Answer: (c) 26/3Solution:14. The value of (0.1 × 0.001 × 0.0001 × 10⁶) is: [Group D 09/09/2022 (Morning)](a) 1(b) 1/10(c) 100(d) 1/100Correct Answer: (d) 1/100Solution:15. If 9x = 55² - 35², then the value of x is: [Group D 09/09/2022 (Morning) ](a) 400(b) 200(c) 300(d) 500Correct Answer: (b) 200Solution:9x = 55² - 35² ⇒ 9𝑥 = 3025 − 1225 ⇒ 9𝑥 = 1800 ⇒ 𝑥 = 20016. Find the answer of given question? [Group D 09/09/2022 (Afternoon) ](a) 456/991(b) 425/990(c) 431/990(d) 430/991Correct Answer: (c) 431/990Solution:17. The value of (279 ÷ 31) + (363 ÷ 33) - (512 ÷ 16) is: [Group D 09/09/2022 (Afternoon) ](a) 1.9(b) -11(c) 10(d) -12Correct Answer: (d) -12Solution:(279 ÷ 31) + (363 ÷ 33) - (512 ÷ 16) ⇒ 9 + 11 - 32 = -1218. Find the answer of given question? [Group D 09/09/2022 (Afternoon) ](a) 49(b) 2500(c) 2401(d) 50Correct Answer: (b) 2500Solution:19. Find the answer of given question? [Group D 09/09/2022 (Evening) ](a) 7/45(b) 6/49(c) 8/45(d) 5/49Correct Answer: (c) 8/45Solution:20. The value of (2²⁵ ÷ 2¹⁵) × 2⁴ is: [Group D 12/09/2022 (Morning)](a) 2¹⁴(b) 2¹⁰(c) 2¹¹(d) 2¹³Correct Answer: (a) 2¹⁴Solution:Submit Quiz« Previous12345Next »