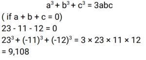
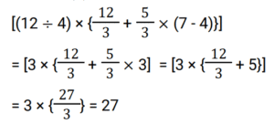
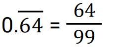
Simplification (Railway Maths) (201 to 250)Total Questions: 501. Find the answer of given equation? [Group D 17/09/2022 (Morning) ](a) 8(b) 10(c) 16(d) 20Correct Answer: (c) 16Solution:2. Find the answer of given equation? [Group D 17/09/2022 (Morning) ](a) 5323/9990(b) 2661/4990(c) 2659/4995(d) 5333/9990Correct Answer: (c) 2659/4995Solution:3. Simplify the question? [Group D 17/09/2022 (Afternoon) ](a) 7/9(b) 9/11(c) 67/95(d) 64/99Correct Answer: (d) 64/99Solution:4. Which of the following fractions is the largest? [Group D 17/09/2022 (Afternoon) ]5/7, 9/14, 16/21, 29/42(a) 16/21(b) 29/42(c) 5/7(d) 9/14Correct Answer: (a) 16/21Solution:5. The difference between the smallest and the largest fractions among 5/6, 7/8, 11/12, 13/16 is: [Group D 17/09/2022 (Afternoon) ](a) 5/41(b) 5/47(c) 5/43(d) 5/48Correct Answer: (d) 5/48Solution:6. The value of 3 + 3 × [(11 − 2) ÷ 3] − 2 × 3 is? [Group D 17/09/2022 (Evening)](a) 7(b) 6(c) 8(d) 9Correct Answer: (b) 6Solution:3 + 3 × [ {11 –2 } ÷ 3] – 2 × 3 = 3 + 3 × 3 - 2 × 3 = 3 + 9 - 6 = 67. Find the value of [(12 ÷ 4) × (12/3 + 5/3 × (7 − 4))]? [Group D 17/09/2022 (Evening)](a) 54(b) 45(c) 27(d) 36Correct Answer: (c) 27Solution:8. Using the fact that 4515 ÷ 12.9 = 350, find the value of 4.515 ÷ 12.9. [Group D 17/09/2022 (Evening)](a) 3.5(b) 0.035(c) 35(d) 0.35Correct Answer: (d) 0.35Solution:4515 ÷ 12.9 = 350 Similarly, 4.515 ÷ 12.9 = 0.359. Evaluate 23³ + (−11)³ + (−12)³? [Group D 17/09/2022 (Evening)](a) 8708(b) 8908(c) 9108(d) 8608Correct Answer: (c) 9108Solution:10. Evaluate (40.25 ÷ 5) + (0.07 × 5) / (0.15 × 8) + (0.18 ÷ 0.2)? [Group D 18/09/2022 (Morning)](a) 3(b) 5(c) 4(d) 7.5Correct Answer: (c) 4Solution:Submit Quiz12345Next »