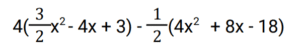
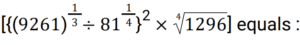
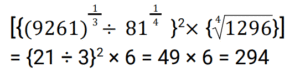
Simplification (Railway Maths) (251 to 300)Total Questions: 501. Find the answer of given equation? [Group D 26/09/2022 (Evening) ](a) 1/4(b) 3/5(c) 3/8(d) 1/2Correct Answer: (a) 1/4Solution:2. Find the answer of given question? [Group D 26/09/2022 (Evening) ](a) 187(b) 183(c) 181(d) 179Correct Answer: (c) 181Solution:3. Find the answer of given question? [Group D 26/09/2022 (Evening)](a) 147(b) 174(c) 294(d) 249Correct Answer: (c) 294Solution:4. If (32/243)ᵏ = 8/27, then k = ____ [Group D 26/09/2022 (Evening)](a) 5/3(b) 2/3(c) 3/5(d) 3/2Correct Answer: (c) 3/5Solution:5. Find the answer of given equation? [Group D 27/09/2022 (Morning)](a) 2/9(b) 5/18(c) 2/3(d) 4/9Correct Answer: (d) 4/9Solution:6. Find the answer of given equation? [Group D 27/09/2022 (Morning) ](a) 3/2(b) 4/3(c) 2/3(d) 3/4Correct Answer: (b) 4/3Solution:7. If 0.25 a = 0.05 b, then which of the options below gives the best approximation of the value of (b - a) / (b + a)? [Group D 27/09/2022 (Morning)](a) 0.16(b) 1.6(c) 0.67(d) 6.6Correct Answer: (c) 0.67Solution:8. If one-third of a number is 6 more than the number itself, then find the number. [Group D 27/09/2022 (Morning)](a) -5(b) -9(c) -7(d) -6Correct Answer: (b) -9Solution:9. Simplify the given expression. [Group D 27/09/2022 (Morning)](a) 4x² - 20x + 21(b) 4x² + 20x - 21(c) 4x² + 20x + 21(d) 4x² - 20x - 21Correct Answer: (a) 4x² - 20x + 21Solution:10. Find the answer of given question? [Group D 27/09/2022 (Afternoon) ] (a)(b)(c)(d)Correct Answer: (c)Solution:Submit Quiz12345Next »