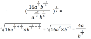
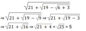
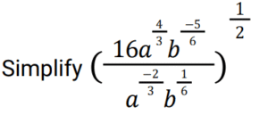
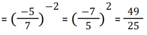
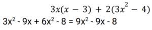
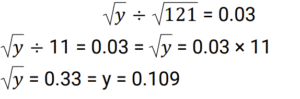
Simplification (Railway Maths) (251 to 300)Total Questions: 5021. Simplify the question? [Group D 28/09/2022 (Evening) ](a) 9(b) 3(c) 5(d) 25Correct Answer: (c) 5Solution:22. 5/12 is the same as: [Group D 29/09/2022 (Morning)](a)(b)(c)(d)Correct Answer: (a)Solution:23. Simplify the question: [Group D 29/09/2022 (Morning) ](a) 7(b) 4(c) 3(d) 5Correct Answer: (d) 5Solution:24. Simplify the given expression. [Group D 29/09/2022 (Afternoon)]3x(x − 9) − 9x² + 2x + 24 − x³(a) 24 + 25x − 6x² − x³(b) 24 − 25x − 6x² − x³(c) 24 − 25x + 6x² − x³(d) 24 − 25x − 6x² + x³Correct Answer: (b) 24 − 25x − 6x² − x³Solution:25. Simplify the question? [Group D 29/09/2022 (Afternoon) ](a)(b)(c)(d)Correct Answer: (c)Solution:26. If √y ÷ √121 = 0.03, then find the value of y, giving your answer correct to 3 decimal places. [Group D 29/09/2022 (Afternoon)](a) 1.760(b) 0.109(c) 0.176(d) 1.640Correct Answer: (b) 0.109Solution:27. Simplify the given expression. [Group D 29/09/2022 (Evening)]3x(x − 3) + 2(3x² − 4)(a) 9x² − 9x + 8(b) 9x² − 9x − 8(c) 9x² + 9x + 8(d) 9x² + 9x − 8Correct Answer: (b) 9x² − 9x − 8Solution:28. Find the value of n, when 216²/ⁿ = 36. [Group D 30/09/2022 (Morning)](a) 1(b) 6(c) 3(d) 9Correct Answer: (c) 3Solution:29. Evaluate (−5/7)⁻⁶ × (−5/7)⁴? [Group D 30/09/2022 (Morning)](a) 49/25(b) 125/343(c) 25/49(d) 343/125Correct Answer: (a) 49/25Solution:30. Simplify the question? [Group D 30/09/2022 (Morning) ](a) 2(b) 2.5(c) 1.5(d) 1.75Correct Answer: (a) 2Solution:Submit Quiz« Previous12345Next »