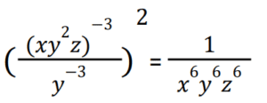
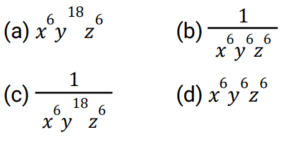
Simplification (Railway Maths) (251 to 300)Total Questions: 5041. Find the answer of given question? [Group D 07/10/2022 (Afternoon) ](a) 7/19(b) 0(c) 19/7(d) 7/5Correct Answer: (a) 7/19Solution:42. Find the answer of given question? [Group D 07/10/2022 (Evening) ](a)(b)(c)(d)Correct Answer: (b)Solution:43. Simplify the following. [Group D 07/10/2022 (Evening) ]-2 - [3 - {3 - (4 - 5)}](a) - 2(b) 1(c) -3(d) - 1Correct Answer: (d) - 1Solution:− 2 − [3 − {3 − ( 4 − 5 )}] -2 - [3 - 4] = -2 + 1 = -144. Simplify the following. [Group D 11/10/2022 (Morning) ]1 − 2 × [{− 2 ( 2 + 3 ) × 20 } ÷ 2 ](a) - 200(b) - 50(c) -1/50(d) 201Correct Answer: (d) 201Solution:45. If 1.345 + 13.45 + 0.1354 + 0.0596 = 11.453 0.543 + k , then what is the value of k ? [Group D 11/10/2022 (Afternoon) ](a) 4.08(b) 4.48(c) 3.06(d) 3.28Correct Answer: (a) 4.08Solution:46. If 56 ÷ 14 × 2² − 12 × 6 ÷ 3 + 10 = z, then find the value of z. [Level 6 (09/05/2022) Shift 1](a) 3(b) 4(c) 6(d) 2Correct Answer: (d) 2Solution:47. If 0.17y = 10.2, find the value of y. [Level 6 (09/05/2022) Shift 1](a) 0.6(b) 60(c) 600(d) 6Correct Answer: (b) 60Solution:48. Simplify the following expression. [Level 6 (09/05/2022) Shift 1](12 - 6 ÷ 2 + 4) / 3² × 3 − 7 + 6(a) 1/2(b) 11/26(c) 13/18(d) 11/18Correct Answer: (a) 1/2Solution:49. Find the value of the expression: [Level 6 (09/05/2022) Shift 1]1 - (4 ÷ 5 - 1 × 3 + 2) × 8 / 3² × 8 − 4 × 2(a) 39/40(b) 41/40(c) 0(d) 5/8Correct Answer: (b) 41/40Solution:50. Simplify the expression: [Level 6 (09/05/2022) Shift 2 ]√0.25 + 2√0.0049 - 0.3√0.09(a) 0.1(b) 2.73(c) 5.05(d) 0.55Correct Answer: (d) 0.55Solution:Submit Quiz« Previous12345