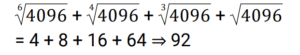
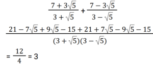
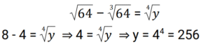
Simplification (Railway Maths) (301 to 350)Total Questions: 5011. Simplify the equation? [Level 2 (13/06/2022) Shift 2 ](a)(b)(c)(d)Correct Answer: (b)Solution:12. Find the value of. [Level 2 (13/06/2022) Shift 2 ](13)³ + (-8)³ + (-5)³(a) -40 × 41(b) 39 × 40(c) -39 × 40(d) 41 × 38Correct Answer: (b) 39 × 40Solution:(13)³ + (-8)³ + (-5)³ = 2197 - 512 - 125 = 1560 or 39 × 4013. Simplify the maths problem? [Level 2 (13/06/2022) Shift 2 ](a) -8(b) -12(c) 10(d) 9Correct Answer: (c) 10Solution:14. Which of the following fractions should be added to 5/9 to obtain as 11/6 as the sum? [Level 2 (13/06/2022) Shift 2 ](a)(b)(c)(d)Correct Answer: (c)Solution:15. Simplify the question? [Level 3 (14/06/2022) Shift 1 ](a) 3/2(b) 1/4(c) 5/6(d) 7/2Correct Answer: (c) 5/6Solution:16. Simplify the question? [Level 3 (14/06/2022) Shift 1 ](a) 256(b) 16(c) 625(d) 81Correct Answer: (a) 256Solution:17. Find the reciprocal of the sum of the reciprocals of the numbers. [Level 3 (14/06/2022) Shift 2 ]1/4, 4/3, 5/7, 5/4, 8/5(a) 23/22(b) 22/23(c) 40/303(d) 607/120Correct Answer: (c) 40/303Solution:18. Simplify the question? [Level 3 (14/06/2022) Shift 2 ](a)(b)(c)(d)Correct Answer: (c)Solution:19. Simplify the equation? [Level 3 (14/06/2022) Shift 2 ](a) 14(b) 6(c) 3(d) 4Correct Answer: (c) 3Solution:20. Find the answer of given question? [Level 5 (15/06/2022) Shift 1 ](a) 92(b) √2/2(c) 90(d) √2Correct Answer: (a) 92Solution:Submit Quiz« Previous12345Next »