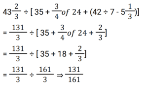
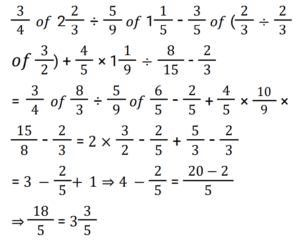
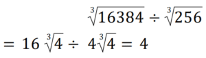
Simplification (Railway Maths) (301 to 350)Total Questions: 5021. Which of the following fractions is the greatest? [Level 5 (15/06/2022) Shift 1 ](a) 8/9(b) 17/20(c) 37/40(d) 22/25Correct Answer: (c) 37/40Solution:22. Evaluate: 2.91² - 1.09² / 1.82: [Level 5 (15/06/2022) Shift 1 ](a) 3(b) 2(c) 5(d) 4Correct Answer: (d) 4Solution:23. Simplify : [Level 5 (15/06/2022) Shift 1 ]65 – [40 – (60 ÷ 5 – (18 – 24 ÷ 4) ÷ 6)](a) 30(b) 40(c) 37(d) 35Correct Answer: (d) 35Solution:24. Find the answer of given question? [Level 5 (15/06/2022) Shift 2 ](a) 9/100(b) 37/33(c) -5/11(d) -7/33Correct Answer: (d) -7/33Solution:25. Simplify the expression: [Level 5 (15/06/2022) Shift 2 ](a) 25/4(b) 15/4(c) 30(d) 15Correct Answer: (d) 15Solution:26. Evaluate: [Level 5 (15/06/2022) Shift 2 ](a) 1/7(b) 1/4(c) 1/8(d) 1/10Correct Answer: (c) 1/8Solution:27. Evaluate: ³√16384 ÷ ³√256 [Level 5 (15/06/2022) Shift 3 ](a) 6(b) 4(c) 2(d) 3Correct Answer: (b) 4Solution:28. Simplify the following expression, 0.002 + 5.025 – 35.08 – 5.058 [Level 5 (15/06/2022) Shift 3 ](a) – 45.165(b) – 35.111(c) 35.111(d) 45.165Correct Answer: (b) – 35.111Solution:0.002 + 5.025 - 35.08 - 5.058 = 5.027 - 40.138 = - 35.11129. Simplify the equation? [Level 2 (16/06/2022) Shift 1 ](a)(b)(c)(d)Correct Answer: (b)Solution:30. Simplify the equation? [Level 2 (16/06/2022) Shift 1 ](a) 91/161(b) 131/161(c) 121/161(d) 109/161Correct Answer: (b) 131/161Solution:Submit Quiz« Previous12345Next »