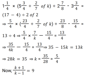
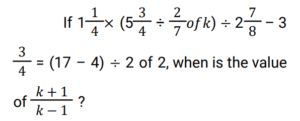
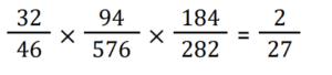
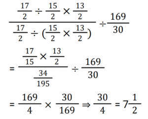
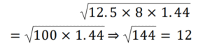
Simplification (Railway Maths) (301 to 350)Total Questions: 5031. Simplify the following expression: [Level 2 (16/06/2022) Shift 1 ]√(12.5 × 8 × 1.44)(a) 12(b) 15(c) 10(d) 13Correct Answer: (a) 12Solution:32. Simplify the following expression: [Level 2 (16/06/2022) Shift 1 ](a) 75(b) 80(c) 50(d) 60Correct Answer: (d) 60Solution:33. Find the answer of given question? [Level 2 (16/06/2022) Shift 2 ](a)(b)(c)(d)Correct Answer: (d)Solution:34. Find the value of k, if k% of 280 = 50% of 350 ? [Level 2 (16/06/2022) Shift 2 ](a) 75(b) 62.5(c) 72.5(d) 60Correct Answer: (b) 62.5Solution:35. Which of the following fractions is the largest? [Level 2 (16/06/2022) Shift 2 ]7/9, 6/7, 22/25, and 11/13(a) 7/9(b) 11/13(c) 6/7(d) 22/25Correct Answer: (d) 22/25Solution:36. Find the answer of given question? [Level 2 (16/06/2022) Shift 2 ](a)(b)(c)(d)Correct Answer: (b)Solution:37. Which of the following options is the closest approximate value which will come in place of question mark(?) in the following equation? [Level 2 (16/06/2022) Shift 3 ]24.99% of 799.897 + 29.989% of 120.010 = 190 + 22.998% of ?(a) 150(b) 180(c) 220(d) 200Correct Answer: (d) 200Solution:38. Simplify the question? [Level 2 (16/06/2022) Shift 3 ](a) 0.4(b) 4(c) 0.04(d) 0.004Correct Answer: (b) 4Solution:39. Find the value of 32/46 × 94/576 × 184/282 [Level 2 (16/06/2022) Shift 3 ](a) 2/9(b) 2/27(c) 2/3(d) 27/2Correct Answer: (b) 2/27Solution:40. Simplify the question? [Level 2 (16/06/2022) Shift 3 ](a) 7(b) 9(c) 5/2(d) 11/3Correct Answer: (b) 9Solution:Submit Quiz« Previous12345Next »