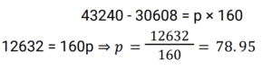
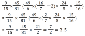
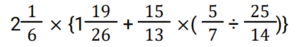
Simplification (Railway Maths) (301 to 350)Total Questions: 5041. Simplify the question? [Level 2 (16/06/2022) Shift 3 ](a) 3(b) 4(c) 1(d) 2Correct Answer: (a) 3Solution:42. Simplify the following expression: [Level 2 (16/06/2022) Shift 3 ](a)(b)(c)(d)Correct Answer: (c)Solution:43. What should come in place of p in the following equation. [Level 2 (16/06/2022) Shift 3 ]43240 - 30608 = p × 160(a) 79.85(b) 78.95(c) 75.89(d) 78.59Correct Answer: (b) 78.95Solution:44. Simplify: [Level 3 (17/06/2022) Shift 1 ]484.71 + 285.33 - 827.38 + 73.9 = ?(a) 16.56(b) 36.54(c) 15.78(d) 19.78Correct Answer: (a) 16.56Solution:484.71 + 285.33 - 827.38 + 73.9 = 843.94 - 827.38 ⇒ 16.5645. The value of 5√12 + 6√27 - 4 √75 + √192 is: [Level 3 (17/06/2022) Shift 1 ](a) 22√3(b) 16√3(c) 18√3(d) 20√3Correct Answer: (b) 16√3Solution:46. Simplify the question? [Level 3 (17/06/2022) Shift 1 ](a) 6.5(b) 3.5(c) 7.5(d) 4.5Correct Answer: (b) 3.5Solution:47. If a = 17/99, b = 13/47 and c = 34/33, then what is the value of (ab) ÷ c = ? [Level 3 (17/06/2022) Shift 2 ](a) 17/264(b) 13/282(c) 19/289(d) 21/354Correct Answer: (b) 13/282Solution:48. 5/6 × 3/7 + y = 29/63. What is the value of (10y - 1)? [Level 3 (17/06/2022) Shift 2 ](a) 13/126(b) 2/63(c) -3/63(d) 5/42Correct Answer: (b) 2/63Solution:49. Simplify the question? [Level 3 (17/06/2022) Shift 3 ](a)(b)(c)(d)Correct Answer: (c)Solution:50. Find the value of x in the following equation: [Level 3 (17/06/2022) Shift 3 ](a) 2(b) 1(c) 1/2(d) 2/3Correct Answer: (a) 2Solution:Submit Quiz« Previous12345