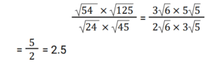
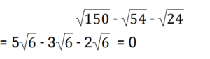
Simplification (Railway Maths) (351 to 400)Total Questions: 501. Simplify the equation? [RRB NTPC 28/12/2020 (Morning) ](a) 1/3(b) 3/4(c) 5/6(d) 1/12Correct Answer: (d) 1/12Solution:2. Simplify the maths problem? [RRB NTPC 28/12/2020 (Morning) ](a) 3.27(b) 3.12(c) 2.55(d) 5.73Correct Answer: (a) 3.27Solution:3. Simplify the maths problem? [RRB NTPC 28/12/2020 (Morning) ](a) 4√6(b) 4(c) 2√5(d) 2.5Correct Answer: (d) 2.5Solution:4. If P = 0.3 × 0.3 + 0.03 × 0.03 - 0.6 × 0.03 and Q = 0.54, then P/Q is equal to? [RRB NTPC 28/12/2020 (Evening) ](a) 4.5(b) 0.45(c) 4.05(d) 0.135Correct Answer: (d) 0.135Solution:5. Simplify the question? [RRB NTPC 28/12/2020 (Evening) ](a) 2(b) 1/3(c) 1/2(d) 4/21Correct Answer: (d) 4/21Solution:6. Simplify the question? [RRB NTPC 28/12/2020 (Evening) ](a) √3 + 2(b) 2 + 2√3(c) √3 - 2(d) 2 + 4√3Correct Answer: (b) 2 + 2√3Solution:7. If √2 + √x = √3, then the value of x is equal to? [RRB NTPC 28/12/2020 (Evening)](a) −2√6 − 5(b) 2√6 − 5(c) 5 + 2√6(d) 5 − 2√6Correct Answer: (d) 5 − 2√6Solution:8. If √4624 = 68, then the value of √46.24 + √0.4624 + √0.004624 is? [RRB NTPC 29/12/2020 (Morning)](a) 7.648(b) 7.548(c) 7.854(d) 7.458Correct Answer: (b) 7.548Solution:9. Simplify : [RRB NTPC 29/12/2020 (Morning)]62 ÷ 5 − (8/9 × 18/7) × 7/5 + 5/4 × 16/25(a) 12(b) 15(c) 5(d) 10Correct Answer: (d) 10Solution:10. Find the value of √150 − √54 − √24 [RRB NTPC 29/12/2020 (Morning)](a) 1(b) 72(c) 0(d) 75Correct Answer: (c) 0Solution:Submit Quiz12345Next »