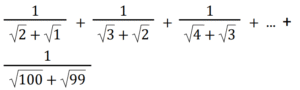
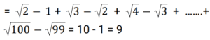
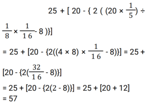
Simplification (Railway Maths) (451 to 500)Total Questions: 501. Express following in the simplest form: [RRB NTPC 25/01/2021 (Evening)]1/5 ÷ (5/3 × 3/25)(a) 0 (b) 1 (c) 3 (d) 2Correct Answer: (b) 1 Solution:2. Solve the following: [RRB NTPC 25/01/2021 (Evening)](a)(b)(c)(d)Correct Answer: (b)Solution:3. Solve the following [RRB NTPC 27/01/2021 (Morning)]64.916 + 1.456 - 25.326 = ?(a) 41.46 (b) 40.46 (c) 41.046(d) 40.04Correct Answer: (c) 41.046Solution:64.916 + 1.456 - 25.326 = 41.0464. Solve the following: [RRB NTPC 27/01/2021 (Morning)](a) 26 (b) 57(c) 27 (d) 37Correct Answer: (b) 57Solution:5. Simplify the following. [RRB NTPC 27/01/2021 (Morning)](a) 4 (b) 10 (c) 9(d) 3Correct Answer: (c) 9Solution:6. Simplify the expression [RRB NTPC 27/01/2021 (Evening)](√81 + √0.81 + √0.0081) √10000.(a) 9.99 (b) 99.9 (c) 999(d) 0.999Correct Answer: (c) 999Solution:7. Find the value of m in [RRB NTPC 27/01/2021 (Evening)](a) 5 (b) 3(c) -2 (d) -3Correct Answer: (b) 3Solution:8. Simplify the given expression [RRB NTPC 28/01/2021 (Morning)](a) 19/25 (b) 12/25 (c) 26/25(d) 31/25Correct Answer: (c) 26/25Solution:9. Using BODMAS, simplify the following. [RRB NTPC 28/01/2021 (Morning)](a) 98000 (b) 84000 (c) 86000 (d) 42000Correct Answer: (a) 98000 Solution:10. Simplify the following. [RRB NTPC 28/01/2021 (Morning)]5 × 0.5 × 0.05 × 0.005 × 500(a) 3125 (b) 0.3125(c) 31.25 (d) 0.003125Correct Answer: (b) 0.3125Solution:5 × 0.5 × 0.05 × 0.005 × 500= 2.5 × 0.00025 × 500= 0.3125Submit Quiz12345Next »