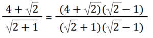
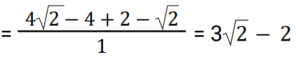
Simplification (Railway Maths) (451 to 500)Total Questions: 5021. What is the sum of 5/2 and 2/5? [RRB NTPC 31/01/2021 (Morning)](a) 20/7(b) 7/7(c) 10/7(d) 29/10Correct Answer: (d) 29/10Solution:Sum of 5/2 and 2/5 = 5/2 + 2/5 = 29/1022. Find √(1521/1849) [RRB NTPC 01/02/2021 (Morning)](a) 32/33(b) 39/43(c) 37/56(d) 29/23Correct Answer: (b) 39/43Solution:23. What will the value of the following expression be? [RRB NTPC 01/02/2021 (Evening)](6 + 3) / 3 - 5 × (4 + 5)(a) 24(b) -42(c) -24(d) 42Correct Answer: (b) -42Solution:(6 + 3 / 3) - 5 × (4 + 5) = 9/3 - 5 × 9 = 3 - 45 = - 4224. What is the value of (4 + √2) / (√2 + 1)? [RRB NTPC 01/02/2021 (Evening)](a) 2 − 3√2(b) 3√2 − 2(c) 3√2(d) 3√2 + 2Correct Answer: (b) 3√2 − 2Solution:25. What is the sum of 1/3, 4/3 and 3/4? [RRB NTPC 01/02/2021 (Evening)](a) 2(b) 29/12(c) 27/12(d) 26/12Correct Answer: (b) 29/12Solution:1/3 + 4/3 + 3/4 = 4 + 16 + 9/12 = 29/1226. If √2916 = 54 then what is the value of the following? [RRB NTPC 01/02/2021 (Evening) ]√29.16 + √0.2916 + √0.002916 + √0.00002916(a) 6.00(b) 5.9994(c) 5.90(d) 5.999Correct Answer: (b) 5.9994Solution:27. What will the value of the following expression be? [RRB NTPC 01/02/2021 (Evening)]20 - [15 - {4 - (8 - 6 + 3)}](a) 8(b) 4(c) 5(d) 6Correct Answer: (b) 4Solution:20 − [15 − {4 − (8 − 6 + 3)}]= 20 − [15 − {4 − 5}]= 20 − [15 + 1]= 20 − 16= 428. What is the value of the following equation? [RRB NTPC 02/02/2021 (Morning)]√225/14 × √196/22 × √484/15(a) 3(b) 1(c) 2(d) 14Correct Answer: (b) 1Solution:(√225 / 14) × (√196 / 22) × (√484 / 15)= (15 / 14) × (14 / 22) × (22 / 15)= 129. What is the value of the following expression? [RRB NTPC 02/02/2021 (Morning)]103 - [144 ÷ (12 × 12) + 5 + 12 ÷ (6 - 2) + 10](a) 86(b) 90(c) 85(d) 84Correct Answer: (d) 84Solution:103 − [144 ÷ (12 × 12) + 5 + 12 ÷ (6 − 2) + 10]= 103 − [144 ÷ 144 + 5 + 12 ÷ 4 + 10]= 103 − [1 + 5 + 3 + 10]= 103 − 19= 8430. Solve the following equation? [RRB NTPC 02/02/2021 (Morning) ](a) 8(b) 5(c) 3(d) 3.6Correct Answer: (b) 5Solution:Submit Quiz« Previous12345Next »