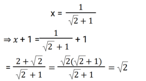
Simplification (Railway Maths) (501 to 550)Total Questions: 501. Find the answer of given question? [RRB NTPC 16/02/2021 (Morning) ](a)(B)(c)(d)Correct Answer: (c)Solution:2. Find the answer of given question? [RRB NTPC 16/02/2021 (Evening) ](a)(b)(c)(d)Correct Answer: (a)Solution:3. Solve the given equation. [RRB NTPC 16/02/2021 (Evening)]√12321 × √? = 13431(a) 14631(b) 14541(c) 14641(d) 14621Correct Answer: (c) 14641Solution:4. Solve the following. [RRB NTPC 17/02/2021 (Morning)]8 ÷ 8 × (8 + 8) / (8 ÷ 8 × 8 + 8) = ?(a) 64(b) 128(c) 1/128(d) 1Correct Answer: (d) 1Solution:5. If a/b = 0.25, then the value of (2a − b) / (2a + b) + 2/9 is [RRB NTPC 17/02/2021 (Morning)](a) 4/9(b) 5/9(c) −2/9(d) −1/9Correct Answer: (d) −1/9Solution:6. What is the value of 1 − (5/6)² ? [RRB NTPC 17/02/2021 (Evening)](a) 1/6(b) 11/36(c) 1/36(d) 4/9Correct Answer: (b) 11/36Solution:1 - (5/6)² = 1 - 25/36 = 11/367. 19 × 19 = 361. What will be the value of 190 × 0.0019? [RRB NTPC 17/02/2021 (Evening)](a) 0.00361(b) 3.61(c) 0.361(d) 0.0361Correct Answer: (c) 0.361Solution:19 × 19 = 361 Now, 190 × 0.0019 0.3618. Find the value of x. [RRB NTPC 22/02/2021 (Morning)]If 52 / x = √(169 / 289)?(a) 62(b) 58(c) 52(d) 68Correct Answer: (d) 68Solution:52/x = √(169 / 289) = 52/x = 13/17 ⇒ x = 689. If x = 1 / (√2 + 1), then what will be the value of x + 1? [RRB NTPC 22/02/2021 (Morning)](a) √2 − 1(b) 2(c) √2(d) √2 + 1Correct Answer: (c) √2Solution:10. Find the answer of given question? [RRB NTPC 22/02/2021 (Morning) ](a) 180/563(b) 563/180(c) 281/900(d) 365/180Correct Answer: (b) 563/180Solution:Submit Quiz12345Next »