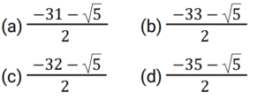
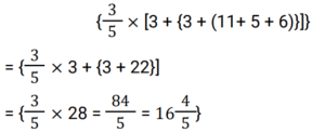
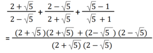
Simplification (Railway Maths) (501 to 550)Total Questions: 5031. By how much is 4/5th of 3500 more than 1/3rd of 6000? [RRB NTPC 02/03/2021 (Morning) ](a) 2800(b) 2000(c) 1800(d) 800Correct Answer: (d) 800Solution:32. Find the answer of given equation? [RRB NTPC 02/03/2021 (Evening) ](a)(b)(c)(d)Correct Answer: (b)Solution:33. Find the answer of given equation? [RRB NTPC 03/03/2021 (Morning) ](a)(b)(c)(d)Correct Answer: (b)Solution:34. If 65 × 65 = 4225, then the value of 6.5 × 6.5 = ? [RRB NTPC 03/03/2021 (Morning) ](a) 42.25(b) 42025(c) 422.5(d) 0.004225Correct Answer: (a) 42.25Solution:65 × 65 = 4225 Then , 6.5 × 6.5 = 42.2535. Find the answer of given question? [RRB NTPC 03/03/2021 (Morning) ](a) 3110(b) 3018(c) 3000(d) 3108Correct Answer: (a) 3110Solution:36. Simplify: [RRB NTPC 03/03/2021 (Evening)](320 ÷ 8 × 8 ÷ 4 × 1/2) / (180 × 5 ÷ 45 − 4)(a) 2/5(b) 10(c) 5/2(d) 5/8Correct Answer: (c) 5/2Solution:37. Simplify: 9 + (45 ÷ 9) − 8 × (−4) [RRB NTPC 03/03/2021 (Evening)](a) 46(b) −171(c) 38(d) 8Correct Answer: (a) 46Solution:9 + (45 ÷ 9) - 8 × (-4) = 9 + 5 + 32 = 4638. The value of {3/5 × [3 + {3 + (11 + 5 + 6)}]} is: [RRB NTPC 04/03/2021 (Morning) ](a)(b)(c)(d)Correct Answer: (b)Solution:39. The value of 27 × 4.15 + 30.8 ÷ 22 is: [RRB NTPC 04/03/2021 (Morning)](a) 113.45(b) 110.25(c) 126.05(d) 149.85Correct Answer: (a) 113.45Solution:27 × 4.15 + 30.8 ÷ 22= 27 × 4.15 + 1.4= 112.05 + 1.4= 113.4540. If (3ˣ)(3ʸ) = 9 and (25ˣ)(5ʸ) = 625, then what is (x, y)? [RRB NTPC 04/03/2021 (Morning)](a) (2, 4)(b) (2, 0)(c) (3, −5)(d) (1, 2)Correct Answer: (b) (2, 0)Solution:Submit Quiz« Previous12345Next »