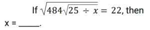
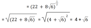
Simplification (Railway Maths) (501 to 550)Total Questions: 5041. The square root of 182.25 is: [RRB NTPC 04/03/2021 (Morning)](a) 13.5(b) 12.5(c) 11.25(d) 9.25Correct Answer: (a) 13.5Solution:√182 . 25 = 13.542. The value of [(56 + 34)² − (56 − 34)²] / (4 × 56 × 34) is: [RRB NTPC 04/03/2021 (Morning)](a) 2(b) 1(c) 3(d) 0Correct Answer: (b) 1Solution:43. Find the value of (119.5²− 116.4²) / (119.5 − 116.4). [RRB NTPC 04/03/2021 (Evening)](a) 235.1(b) 217.9(c) 3.1(d) 235.9Correct Answer: (d) 235.9Solution:44. Find the value of (22 + 8√6)¹/². [RRB NTPC 04/03/2021 (Evening)](a) 4 − √6(b) 16 + 2√6(c) 8 + 2√6(d) 4 + √6Correct Answer: (d) 4 + √6Solution:45. By how much is 2/3 of 3000 more than 2/5 of 1500? [RRB NTPC 04/03/2021 (Evening)](a) 1500(b) 1400(c) 1000(d) 2000Correct Answer: (b) 1400Solution:Difference between (2/3 of 3000) and (2/5 of 1500) = 2000 - 600 = 140046. If √625 ÷ √x = 1/5, then x = ? [RRB NTPC 04/03/2021 (Evening)](a) 125(b) 15625(c) 3125(d) 1225Correct Answer: (b) 15625Solution:√625 ÷ √x = 1/5 25 ÷ √x = 1/5 =√x = 125 ⇒ x = 1562547. Find the answer of given question? [RRB NTPC 04/03/2021 (Evening)](a) 25(b) 100(c) 75(d) 50Correct Answer: (a) 25Solution:√(484√25 ÷ x) = 22 ⇒ 484√25 ÷ x = 484⇒ √25 ÷ x = 1⇒ 25 ÷ x = 1⇒ x = 2548. The value of √142884 is: [RRB NTPC 05/03/2021 (Morning)](a) 358(b) 378(c) 368(d) 388Correct Answer: (b) 378Solution:√142884 = √(35721 × 2 × 2)= √(378 × 378)= 37849. Solve the given equation. [RRB NTPC 05/03/2021 (Morning)]√((544)² − (256)²)(a) 144(b) 288(c) 480(d) 400Correct Answer: (c) 480Solution:50. Convert 8/9 into a decimal number. [RRB NTPC 05/03/2021 (Evening)](a) 0.85(b) 0.88(c) 0.77(d) 0.91Correct Answer: (b) 0.88Solution:8/9 = 0.88Submit Quiz« Previous12345