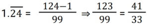
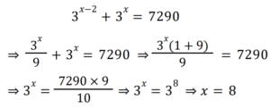
Simplification (Railway Maths) (51 to 100)Total Questions: 5031. Simplify the equation? [Group D 22/08/2022 ( Morning ) ](a) 123/90(b) 41/33(c) 91/90(d) 124/99Correct Answer: (b) 41/33Solution:32. The equivalent fraction of 4.2222......is: [Group D 22/08/2022 ( Afternoon ) ](a) 38/100(b) 38/9(c) 42/99(d) 422/99Correct Answer: (b) 38/9Solution:4.2222.... = 4 + 0.2222... = 4 + 2/9 = 38/933. Simplify 234 x [8 - (6 + 2) x 3] + 4234. [Group D 22/08/2022 (Afternoon) ](a) 490(b) 423(c) 940(d) 324Correct Answer: (a) 490Solution:234 × [8 − (6 + 2) × 3] + 4234 = 234 × [8 − 24] + 4234 = 234 × (−16) + 4234 = −3744 + 4234 = 49034. If 3⁽ˣ ⁻ ²⁾ + 3ˣ = 7290, then the value of x is: [Group D 22/08/2022 (Evening) ](a) 8(b) 9(c) 6(d) 7Correct Answer: (a) 8Solution:35. Simplify (3/2)x² + 2x − 3/2 + x²/2 − 6x + 1/2? [Group D 22/08/2022 (Evening)](a) 2x² − 4x + 1(b) 2x² + 4x + 1(c) 2x² − 4x − 1(d) 2x² + 4x − 1Correct Answer: (c) 2x² − 4x − 1Solution:36. Find the value of √(0.030625 / 0.001225)? [Group D 22/08/2022 (Evening) ](a) 25(b) 15(c) 20(d) 5Correct Answer: (d) 5Solution:37. The value of √144 + √0.0169 − √4.41 = ? [Group D 23/08/2022 (Morning)](a) 15.4(b) 10.03(c) 14.23(d) 11.2Correct Answer: (b) 10.03Solution:√144 + √0.0169 − √4.41 = 12 + 0.13 − 2.1 = 10.0338. The value of (3⁰ + 3⁻² + 3⁻¹) × 27 = ? [Group D 23/08/2022 (Morning)](a) 3(b) 32(c) 23(d) 39Correct Answer: (d) 39Solution:(3⁰ + 3⁻² + 3⁻¹) × 27 = (1 + 1/9 + 1/3) × 27 = 13/9 × 27 = 3939. Which of the following options is the closest approximate value which will come in place of question mark(?) in the following equation? [Group D 23/08/2022 (Morning) ]125.99 - 35.92 + 3.89 × 16.11 =?(a) 158(b) 166(c) 154(d) 150Correct Answer: (c) 154Solution:= 125.99 − 35.92 + 3.89 × 16.11 = 126 − 36 + 4 × 16 = 126 − 36 + 64 = 190 − 36 = 15440. The value of 4² + √(8²) − 4√25 − 10 = [Group D 23/08/2022 (Afternoon)](a) −6(b) −32(c) 12(d) −25Correct Answer: (a) −6Solution:4² + √(8²) − 4√25 − 10 = 16 + 8 − 4 × 5 − 10 = 16 + 8 − 20 − 10 = −6Submit Quiz« Previous12345Next »