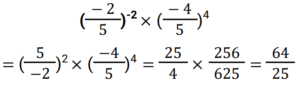
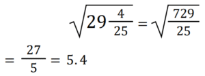
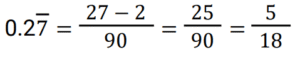
Simplification (Railway Maths) (51 to 100)Total Questions: 5041. The value of √(29 4/25) is: [Group D 23/08/2022 (Afternoon)](a) 5.4(b) 5.5(c) 5.6(d) 5.2Correct Answer: (a) 5.4Solution:42. The value of √729 + √1681 + √576 - √1849 is: [Group D 23/08/2022 (Afternoon) ](a) 55(b) 49(c) 64(d) 37Correct Answer: (b) 49Solution:√729 + √1681 + √576 − √1849 = 27 + 41 + 24 − 43 = 4943. Simplify the equation? [Group D 23/08/2022 (Evening) ](a) 3053.75(b) 3053.25(c) 3055.25(d) 3055.75Correct Answer: (d) 3055.75Solution:44. Find the value of the following: (-2/5)⁻² × (-4/5)⁴? [Group D 23/08/2022 ( Evening ) ](a) 26/25(b) 25/64(d) 25/26(c) 64/25Correct Answer: (c) 64/25Solution:45. Which of the following represents the closest approximate value that should come in place of the question mark (?) in the following equation? [Group D 23/08/2022 (Evening)]12.999 − 3.998 + 14.002 × 3.998 + 27.008 ÷ 3.001 + 35.999 ÷ 5.998 = ?(a) 68(b) 89(c) 72(d) 80Correct Answer: (d) 80Solution:46. Simplify x² + 5x − 12 − 3(x² − 2x + 9)? [Group D 23/08/2022 (Evening)](a) −2x² + 11x + 39(b) 2x² − 11x − 39(c) −2x² + 11x − 39(d) 2x² + 11x − 39Correct Answer: (c) −2x² + 11x − 39Solution:x² + 5x − 12 − 3(x² − 2x + 9) = x² + 5x − 12 − 3x² + 6x − 27 = −2x² + 11x − 3947. Simplify the equation? [Group D 24/08/2022 ( Morning ) ](a) 5/18(b) 18/7(c) 7/18(d) 18/5Correct Answer: (a) 5/18Solution:48. Simplify 423 × 423 − 325 × 325/ 423 - 325? [Group D 24/08/2022 (Morning) ](a) 748(b) 487(c) 478(d) 874Correct Answer: (a) 748Solution:49. Which of the following options is the closest approximate value which will come in place of question mark (?) in the following equation? [Group D 24/08/2022 (Morning) ]68.27 - 140.1 + 9.99 x 7.7 = ?(a) 8(b) 35(c) 16(d) 25Correct Answer: (a) 8Solution:68.27 − 140.1 + 9.99 × 7.7 = 68 − 140 + 10 × 8 = 68 − 140 + 80 = 850. The value of 12 + 12 x 12 - 12 ÷ 12 =? [Group D 24/08/2022 (Morning) ](a) 23(b) 140(c) 155(d) 0Correct Answer: (c) 155Solution:12 + 12 × 12 − 12 ÷ 12 = 12 + 144 − 1 = 155Submit Quiz« Previous12345