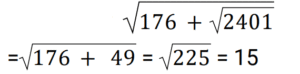
Simplification (Railway Maths) (551 to 600)Total Questions: 501. Find the answer of given question? [RRB NTPC 05/03/2021 (Evening) ](a) 0.2(b) 2.0(c) 0.02(d) 0.002Correct Answer: (a) 0.2Solution:2. If √7 = 2.6, then the value of (5√7) / (4√7 − 0.4) is: [RRB NTPC 05/03/2021 (Evening)](a) 1.2(b) 1.1(c) 1.5(d) 1.3Correct Answer: (d) 1.3Solution:3. Which of the following fractions are in ascending order? [RRB NTPC 05/03/2021 (Evening)](a) 16/19, 14/17, 12/18(b) 12/18, 14/17, 16/19(c) 12/18, 16/19, 14/17(d) 14/17, 12/18, 16/19Correct Answer: (b) 12/18, 14/17, 16/19Solution:ascending order = 12/18, 14/17, 16/194. Given that a = √4, then the value of the following: [RRB NTPC 05/03/2021 (Evening)]√9 + 25a + √64(a) 51(b) 31(c) 41(d) 61Correct Answer: (d) 61Solution:√9 + 25a + √64= 3 + 25√4 + 8= 3 + 50 + 8= 615. Find the answer of given question? [RRB NTPC 07/03/2021 (Morning)](a) 11/9(b) 6/5(c) 7/6(d) 9/8Correct Answer: (a) 11/9Solution:6. If √5ⁿ = 5, then n = ? [RRB NTPC 07/03/2021 (Morning)](a) 4(b) 5(c) 2(d) 3Correct Answer: (c) 2Solution:√5ⁿ = 5 Squaring both sides, we get 5ⁿ = 5² On comparing we get, n = 27. Find the value of 18 − [6 ÷ 3 × {8 − (10 × 1/2)}]. [RRB NTPC 07/03/2021 (Morning)](a) 8(b) 12(c) 10(d) 6Correct Answer: (b) 12Solution:8. √176 + √2401 is equal to: [RRB NTPC 07/03/2021 (Morning)](a) 17(b) 21(c) 19(d) 15Correct Answer: (d) 15Solution:9. Simplify: 0.077 ÷ 7 − 0.005 ÷ 5 [RRB NTPC 07/03/2021 (Morning)](a) 0.01(b) 0.001(c) 0.0001(d) 0.00001Correct Answer: (a) 0.01Solution:0.077 ÷ 7 - 0.005 ÷ 5 = 0.011 - 0.0001 = 0.0110. The value of the variable x in the equation 3(5x + 2) − 4 = 2(1 − 4x) is: [RRB NTPC 07/03/2021 (Evening)](a) −1(b) 10(c) 2(d) 0Correct Answer: (d) 0Solution:The value of the variable x in the equation 3 (5x + 2) - 4 = 2 (1 - 4x) is: ⇒ 23x = 0 ⇒ x = 0 ;Submit Quiz12345Next »