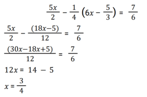
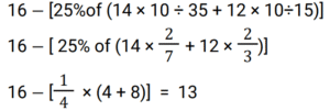
Simplification (Railway Maths) (701 to 750)Total Questions: 5021. (0.1² − 0.0252²) ÷ (0.1 − 0.025) = ______ [ALP Tier II 23/01/2019 (Morning)](a) 0.25(b) 0.625(c) 0.325(d) 0.125Correct Answer: (d) 0.125Solution:22. If 5x/2 - 1/4 (6x - 5/3) = 7/6 then the value of x is______. [ALP Tier II 23/01/2019 (Morning) ](a) 5/7(b) 5/4(c) 3/7(d) 3/4Correct Answer: (d) 3/4Solution:23. Solve the following. [ALP Tier II 23/01/2019 (Afternoon) ]√0.2025 + √0.12225 = _______(a) 0.9(b) 0.6(c) 0.8(d) 1.2Correct Answer: (c) 0.8Solution:24. If 5x/3 - 7/2 (2x/5 - 1/3) = 1/3, then the value of x is______ [ALP Tier II 23/01/2019 (Afternoon) ](a) 1.25/8(b) -5/14(c) -25/8(d) 5/14Correct Answer: (c) -25/8Solution:5x/3 − 7/2 ( 2x/5 − 1/3 ) = 1/3 → 5x/3 − 7/2 ( (6x − 5) / 15 ) = 1/3 → (50x − 42x + 35) / 30 = 1/3 → 8x = −25 ⇒ x = −25/825. Find the value of the given expression: 16 - (25% of (14 x 10 ÷ 35 + 12 x 10 ÷ 15)) [ALP Tier II 23/01/2019 (Afternoon) ](a) 9(b) 13(c) 7(d) 11Correct Answer: (b) 13Solution:26. The value of (0.12 x 0.12 x 0.12) x (1.32 x 1.32 x 1.32)/(0.52 x 0.52) : [ALP Tier II 08/02/2019 (Morning) ](a) 0.187(b) 0.0187(c) 0.0147(d) 0.147Correct Answer: (c) 0.0147Solution:(0.12 × 0.12 × 0.12) × (1.32 × 1.32 × 1.32) / (0.52 × 0.52) = 0.014727. The value of –7 (2x + 4y) –2 (x – 2y) is: [ALP Tier II 08/02/2019 (Morning) ](a) -4(2x + 3y)(b) -8(2x + 3y)(c) -8(2x - 3y)(d) -3(2x + 3y)Correct Answer: (b) -8(2x + 3y)Solution:−7 (2x + 4y) − 2 (x − 2y)= −16x − 24y= −8 (2x + 3y)28. find the unknown (?) number: [ALP Tier II 08/02/2019 (Morning) ]0.088 / (?) = 0.02(a) 4.2(b) 3.4(c) 4.4(d) 3.2Correct Answer: (c) 4.4Solution:0.088 / x = 0.02 ⇒ x = 8.8 / 2 = 4.429. The square root of (10 + √25) (12 – √49) is: [ALP Tier II 08/02/2019 (Morning) ](a) 4√3(b) 5√3(c) 3√3(d) 2√3Correct Answer: (b) 5√3Solution:30. If x = 15, y = 20 and z = 10 then the value of (5x – 15) / (y + Z) is equal to_______: [ALP Tier II 08/02/2019 (Morning) ](a) 2(b) 3(c) 4(d) 6Correct Answer: (a) 2Solution:(5x − 15) / (y + z) = (5 × 15 − 15) / (20 + 10) = 60 / 30 → 2Submit Quiz« Previous12345Next »