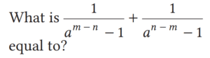
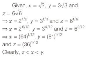
SOLVED PAPER 2020 (CDS) (I) (Elementary Mathematics)Total Questions: 10011. A two-digit number is 9 more than four times of the number obtained by interchanging its digits. If the product of digits in the two-digit number is 8, then what is the number?(a) 81(b) 42(c) 24(d) 18Correct Answer: (a) 81Solution:Let two digit number = 10x + y 12. If α and β are the roots of the quadratic equation x² + kx - 15 = 0 such that α - β = 8 then what is the positive value of k ?(a) 2(b) 3(c) 4(d) 5Correct Answer: (a) 2Solution:Given quadratic equation,13. What are the values of p and q respectively, if (x - 1) and (x + 2) divide the polynomial x³ + 4x² + px + q ?(a) 1, -6(b) 2, -6(c) 1, 6(d) 2, 6Correct Answer: (a) 1, -6Solution:Given polynomial is14. If (x + k) is the HCF of x² + 5x + 6 and x² + 8x + 15 then what is the value of k ?(a) 5(b) 3(c) 2(d) 1Correct Answer: (b) 3Solution:Since, (x + k) is the HCF of15. If 5ˣ⁺¹ - 5ˣ⁻¹ = 600 then what is the value of 10²ˣ ?(a) 1(b) 1000(c) 100000(d) 1000000Correct Answer: (d) 1000000Solution:16. A number divides 12288, 28200 and 44333 so as to leave the same remainder in each case. What is that number ?(a) 272(b) 232(c) 221(d) 120Correct Answer: (c) 221Solution:Let divisor is x and remainder is r.17. If x² + 9y² = 6xy, then what is y : x equal to ?(a) 1 : 3(b) 1 : 2(c) 2 : 1(d) 3 : 1Correct Answer: (a) 1 : 3Solution:18. If mand n are positive integers such that mⁿ = 1331 then what is the value of (m - 1)ⁿ⁻¹ ?(a) 1(b) 100(c) 121(d) 125Correct Answer: (b) 100Solution:19. Answer the following question(a) 1(b) -1(c) 0(d) 2aᵐ⁻ⁿCorrect Answer: (b) -1Solution:20. Solve the following equation(a) y < x < z(b) z < x < y(c) z < y < x(d) x < y < zCorrect Answer: (b) z < x < ySolution:Submit Quiz« Previous12345678910Next »