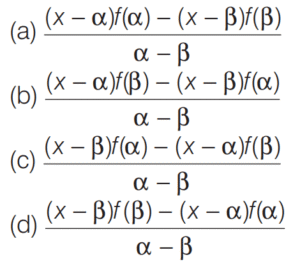
SOLVED PAPER 2020 (CDS) (I) (Elementary Mathematics)Total Questions: 10021. If log(x) = 1.25 and y = xˡᵒᵍˣ, then what is log(y) equal to ?(a) 4.2500(b) 2.5625(c) 1.5625(d) 1.2500Correct Answer: (c) 1.5625Solution:22. If f(x) is divided by (x - α) (x - β), where α ≠ ẞ, then what is the remainder ?(a)(b)(c)(d)Correct Answer: (c)Solution:Given, f(x) is divided by (x - α) (x - β). 23. If the area of a square is 2401x⁴ + 196x² + 4, then what is its side length ?(a) 49x² + 3x + 2(b) 49x² - 3x + 2(c) 49x² + 2(d) 59x² + 2Correct Answer: (c) 49x² + 2Solution:24. If x varies as yz, then y varies inversely as(a)(b)(c)(d)Correct Answer: (c)Solution:25. Simplify the equation(a)(b)(c)(d)Correct Answer: (a)Solution:26. What is the point on the xy-plane satisfying 5x + 2y = 7xy and 10x + 3y = 8xy ?(a)(b)(c)(d)Correct Answer: (b)Solution:Given, 5x + 2y = 7xy,27. The price of an article X increases by 20% every year and price of article Y increases by 10% every year. In the year 2010, the price of article X was ₹ 5000 and price of article Y was ₹ 2000. In which year the difference in their prices exceeded ₹ 5000 for the first time ?(a) 2012(b) 2013(c) 2014(d) 2015Correct Answer: (b) 2013Solution:In year 2010, Price of article X is ₹5000 and price of article Y is ₹2000. 28. The ratio of speeds of X and Y is 5 : 6. If Y allows X a start of 70 m in a 1.2 km race, then who will win the race and by what distance?(a) X wins the race by 30 m(b) Y wins the race by 90 m(c) Y wins the race by 130 m(d) The race finishes in a dead heatCorrect Answer: (c) Y wins the race by 130 mSolution:Speed of X = 5k and speed of Y = 6k29. A train takes two hours less for a journey of 300 km if its speed is increased by 5 km/h from its usual speed. What is its usual speed ?(a) 50 km/h(b) 40 km/h(c) 35 km/h(d) 25 km/hCorrect Answer: (d) 25 km/hSolution: 30. If 6 men and 8 women can do a piece of work in 10 days, and 13 men and 24 women can do the same work in 4 days, then what is the ratio of daily work done by a man to that of a woman ?(a) 2 : 1(b) 1 : 2(c) 4 : 3(d) 3 : 4Correct Answer: (a) 2 : 1Solution:Let a man’s one day work = x unit and a woman’s one day work = y unitSubmit Quiz« Previous12345678910Next »