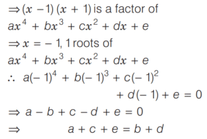
SOLVED PAPER 2020 (CDS) (I) (Elementary Mathematics)Total Questions: 10041. The number of three digit numbers (all digits are different) which are divisible by 7 and also divisible by 7 on reversing the order of the digits, is(a) Six(b) Five(c) Four(d) ThreeCorrect Answer: (c) FourSolution:Let the three digits number = xyz and the reverse of it will be = zyx42. How many integral values of x and y satisfy the equation 5x + 9y = 7, where - 500 < x < 500 and-500<y< 500 ?(a) 110(b) 111(c) 112(d) None of the aboveCorrect Answer: (b) 111Solution:Given equation 5x + 9y = 7, 43. Let XYZ be a 3-digit number. Let S = XYZ + YZX + ZXY Which of the following statements is/are correct ?1. S is always divisible by 3 and (X + Y + Z) 2. S is always divisible by 9. 3. S is always divisible by 37.Select the correct answer using the code given below:(a) 1 only(b) 2 only(c) 1 and 2(d) 1 and 3Correct Answer: (d) 1 and 3Solution:Given, S = XYZ + YZX + ZXY44. In covering certain distance, the average speeds of X and Y are in the ratio 4 : 5. If X takes 45 min more than Y to reach the destination, then what is the time taken by Y to reach the destination?(a) 135 min(b) 150 min(c) 180 min(d) 225 minCorrect Answer: (c) 180 minSolution:When the speed is same, then speed is inversely proportional to time.45. For two observations, the sum is S and product is P. What is the harmonic mean of these two observations ?(a)(b)(c)(d)Correct Answer: (c)Solution:Given that, S = x + y, P = xy 46. If the annual income of X is 20% more than that of Y, then the income of Y is less than that of X by p%. What is the value of p?(a) 10(b) 16⅔(c) 17⅓(d) 20Correct Answer: (b) 16⅔Solution:Let annual income of Y = ₹10047. What is the least perfect square which is divisible by 3, 4, 5, 6 and 7?(a) 1764(b) 17640(c) 44100(d) 176400Correct Answer: (c) 44100Solution:A number which is divisible by 3, 4, 5, 6 and 7 should be a multiple of 3, 4, 5, 6 and 7. i.e. 22 × 3 × 5 × 7 For least perfect square, then it should be a perfect square i.e. 22 × 32 × 52 × 72 = 4410048. In a water tank there are two outlets. It takes 20 min to empty the tank if both the outlets are opened. If the first outlet is opened, the tank is emptied in 30 min. What is the time taken to empty the tank by second outlet?(a) 30 min(b) 40 min(c) 50 min(d) 60 minCorrect Answer: (d) 60 minSolution:Let x is the time taken when both outlets are open and y is the time taken by 1st outlet then time taken by IInd outlet49. If (x² - 1) is a factor of ax⁴ + bx³ + cx² + dx + e, then which one of the following is correct?(a) a + b + c = d + e(b) a + b + e = c + d(c) b + c + d = a + e(d) a + c + e = b + dCorrect Answer: (d) a + c + e = b + dSolution:Given, (x² – 1) is a factor of ax⁴ + bx³ + cx² + dx + e50. Simplify the question(a) 36(b) 27(c) 18(d) 9Correct Answer: (c) 18Solution: Submit Quiz« Previous12345678910Next »