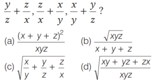
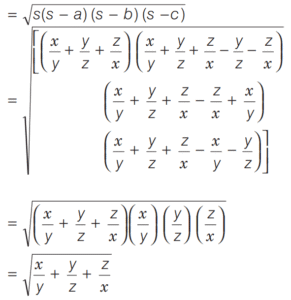
SOLVED PAPER 2020 (CDS) (I) (Elementary Mathematics)Total Questions: 10061. Simplify the question(a) 0(b) 1(c) 2(d) 4Correct Answer: (a) 0Solution:62. Simplify the question(a)(b)(c)(d)Correct Answer: (c)Solution:63. Simplify the equation(a)(b)(c)(d)Correct Answer: (c)Solution: 64. What is the value of(a) 0(b) 1(c) 2(d) 5Correct Answer: (d) 5Solution:65. A rectangle is 48 cm long and 14 cm wide. If the diagonal makes an angle θ with the longer side, then what is (sec θ + cosec θ) equal to?(a) ⁷⁷⁵⁄₁₆₈(b) ⁷²⁵⁄₁₆₈(c) ³⁷⁵⁄₈₄(d) ³²⁵⁄₈₄Correct Answer: (a) ⁷⁷⁵⁄₁₆₈Solution: 66. What is the area of the triangle having side lengths(a)(b)(c)(d)Correct Answer: (c)Solution: 67. If the angles of a triangle are 30° and 45° and the included side is (√3 + 1) cm, then what is the area of the triangle?(a)(b)(c)(d)Correct Answer: (c)Solution: 68. ABCD is a plate in the shape of a parallelogram. EF is the line parallel to DA and passing through the point of intersection O of the diagonals AC and BD. Further, E lies on DC and F lies on AB. The triangular portion DOE is cut out from the plate ABCD. What is the ratio of area of remaining portion of the plate to the whole?(a) ⅝(b) ⁵⁄₇(c) ¾(d) ⅞Correct Answer: (d) ⅞Solution: 69. Two circles of radii 20 cm and 16 cm intersect and the length of common chord is 24 cm. If d is the distance between their centres, then which one of the following is correct?(a) d < 26 cm(b) 26 cm < d < 27 cm(c) 27 cm < d < 28 cm(d) d > 28 cmCorrect Answer: (b) 26 cm < d < 27 cmSolution: 70. In a circle of radius 5 cm, AB and AC are two chords such that AB=AC= 8 cm. What is the length of chord BC ?(a) 9 cm(b) 9.2 cm(c) 9.6 cm(d) 9.8 cmCorrect Answer: (c) 9.6 cmSolution: Submit Quiz« Previous12345678910Next »