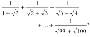
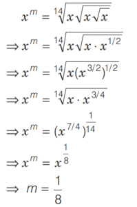
SOLVED PAPER 2020 (CDS) (II) (Elementary Mathematics)Total Questions: 10011. If 17²⁰²⁰ is divided by 18, then what is the remainder?(a) 1(b) 2(c) 16(d) 17Correct Answer: (a) 1Solution:12. What is the value of(a) 1(b) 5(c) 9(d) 10Correct Answer: (c) 9Solution:Given,13. Solve the following equation(a)(b)(c)(d)Correct Answer: (a)Solution:We have,14. The sum of all possible products taken two at a time out of the numbers ±1, ±2, ±3, ±4, ±5 is(a) 0(b) - 30(c) - 55(d) 55Correct Answer: (c) - 55Solution:Given number, ±1, ±2, ±3, ±4, ±515. A train of length 110 m is moving at a uniform speed of 132 km/h. The time required to cross a bridge of length 165 m is(a) 6.5 s(b) 7 s(c) 7.5 s(d) 8.5 sCorrect Answer: (c) 7.5 sSolution:Length of train = 110 m16. The simple interest on a certain sum is one-fourth of the sum. If the number of years and the rate of annual interest are numerically equal, then the number of years is(a) 2.5(b) 3(c) 3.5(d) 5Correct Answer: (d) 5Solution:17. A 60-page book has n lines per page. If the number of lines were reduced by 3 in each page, the number of pages would have to be increased by 10 to give the same writing space. What is the value of n ?(a) 18(b) 21(c) 24(d) 30Correct Answer: (b) 21Solution:Total number of line in 60 page = 60n .....(i) Total number of line when number of line were reduced 3 in each page and number of pages increased by 10 = (n - 3)(70) .....(ii) From Equations (i) and (ii) 60n = (n - 3) 70 60n = 70n - 210 n= 2118. If x men working x hours per day can do x units of work in x days, then y men working y hours per day in y days would be able to do k units of work. What is the value of k ?(a) x² y⁻³(b) x⁻³ y⁻²(c) y² x⁻³(d) y³ x⁻²Correct Answer: (d) y³ x⁻²Solution:Given,19. Let d(n) denote the number of positive divisors of a positive integer n. Which of the following are correct?1. d(5) = d(11) 2. d(5) ⋅ d(11) = d(55) 3. d(5) + d(11) = d(16)Select the correct answer using the code given below:(a) 1 and 3(b) 1 and 2(c) 2 and 3(d) 1, 2 and 3Correct Answer: (b) 1 and 2Solution:Here, d(n), denotes the number of positive divisors of a positive integer n.20. If Aₙ = Pₙ + 1 where Pₙ is the product of the first n prime numbers, then consider the following statements :1. Aₙ is always a composite number. 2. Aₙ + 2 is always an odd number. 3. Aₙ + 1 is always an even number.Which of the above statements is/are correct?(a) only 1(b) only 2(c) only 3(d) 2 and 3Correct Answer: (d) 2 and 3Solution:Submit Quiz« Previous12345678910Next »